낚시 리포트 정보
가장 좋은 낚시 친구! 다시 돌아가려면 생선과 위치를 등록!
당신의 최고의 낚시 친구!
당신이 잡을 물고기가 다시 돌아갑니다 위치를 등록! 낚시 보고서는 낚시의 역사를 추적 로그인 유지하는 간단 있습니다.
당신은 날씨의 GPS 위치 데이터를 포함하여 자세한 정보를 모든 종류를 기록할 수 있습니다. 어부의 일기로 사용하십시오. 정보의 많은 시간이 소요되는 데이터 입력을 제거하기 위해 자동으로 검색됩니다.
사진을 찍으 또는 갤러리에서 기존 이미지를 선택하고 캐치에 첨부해 주시기 바랍니다.
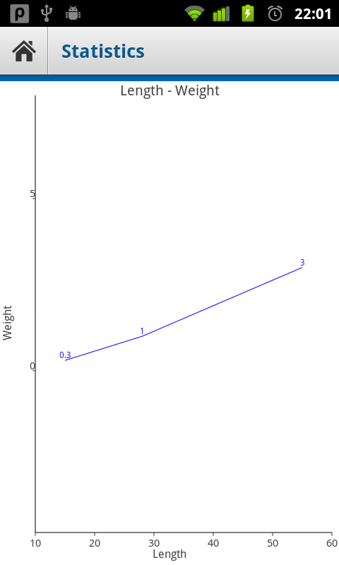
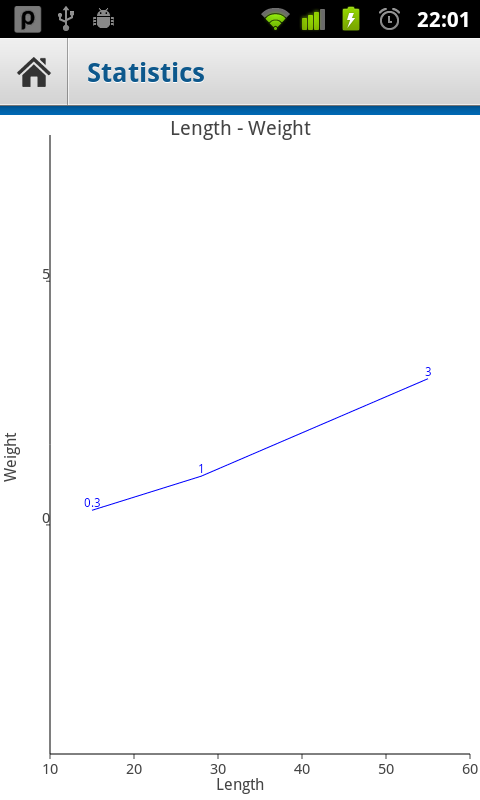
당신의 어획량을 기록하면 당신이 잡힌 모든 물고기에 대한 interresting 정보를 볼 수 그들에 대한 분석을 실행할 수 있습니다.
귀하가 무료 문자에 의한 어획량과 장소를 찾을 수 있도록 검색 기능도있다. 당신이 휴대 전화의 기본 검색 기능을 통해 검색할 수 있도록이 기능은 또한 수출되고 있습니다.
정식 버전을 사용할 때 당신은 CSV 파일로서 귀하의 어획량을 내보낼 수 있습니다.
--- 특징 ---
✓ 쉽게 어획량과 장소를 등록합니다.
✓ 기상 데이터는 자동으로 (네트워크가 가능한 경우) 검색.
✓ 장소 (위치) 데이터가 자동으로 (네트워크와 위치를 찾을 수있는 경우)를 검색.
✓ 100 어종에 걸쳐 선택할 수 있습니다.
✓ 편집하거나 원하는만큼 많은 종류를 추가합니다.
✓ 캐치로 갤러리에서 사진이나 기존 이미지를 첨부합니다.
자동으로 검색된 데이터를 변경 / 수정하기 ✓ 능력.
등록된 어획량에 ✓ 분석.
✓ 검색 기능.
어획량에 첨부된 어획량, 장소 및 미디어에 대한 ✓ 공유 기능.
✓ 내보내기 기능 (정식 버전).
--- 데이터 ---
다음 정보는 (이상)을 잡고, 응용 프로그램에 등록할 각 물고기에 등록하실 수 있습니다 :
- 종
- 무게
- 길이
- 깊이
- 스트라이크 깊이
- 날짜 및 시간
- 카메라 또는 갤러리에서 캐치의 이미지
- 날씨 조건
- 온도
- 습도
- Windspeed
- 바람 방향은
- 해상 온도
- 주소가 같은 장소 정보
- 위도
- 경도
권한이 자동으로 데이터 검색, 이미지 / 사진 기능과 Mobclix에 의해 제공 광고에 대한 필요합니다.




