HC Verma Physics Solutions - Part 2
27.7 MB
Saiz Fail
Everyone
Android 4.0+
Android OS
Mengenai HC Verma Physics Solutions - Part 2
HC Verma Solutions Physics -2 direka khas untuk pelajar kelas NCERT
HC Verma Physics Solutions -2 - app is specially designed for the NCERT class students to help them prepare for their examinations in Physics. This app having Chapter wise solutions of the exercise questions of Concepts of Physics, HC Verma Part-2. This is the best app for Physics for the students for their examinations.
These solutions are widely available on the internet. They are presented in here with easy navigation to each chapter and direct navigation using chapter number and page number. This app is extensively helpful to students preparing for competitive exams, especially the JEE (Joint Entrance Examination). It is considered as the best book for IIT/JEE exam preparation by students, teachers.
This app having HC Verma Physics Solutions -2 can be useful for IIT preparation in two scenarios:
- Check the solution when you stuck solving the questions of the exercise
- To verify answers after you solve the exercise questions
This app contains answers of all the chapters included in the "Concepts of Physics - Part 2" book:
Chapter 23: Heat and Temperature
Chapter 24: Kinetic Theory of Gases
Chapter 25: Calorimetry
Chapter 26: Laws of Thermodynamics
Chapter 27: Specific Heat Capacities of gases
Chapter 28: Heat Transfer
Chapter 29: Electric Field and Potential
Chapter 30: Gauss's Law
Chapter 31: Capacitor
Chapter 32: Electric Current in Conductors
Chapter 33: Electric Current
Chapter 34: Magnetic Field
Chapter 35: Magnetic Field Due to Current
Chapter 36: Permanent Magnets
Chapter 37: Magnetic Properties of Matter
Chapter 38: Electromagnetic Induction
Chapter 39: Alternating Current
Chapter 40: Electromagnetic Waves
Chapter 41: Electric Current Through Gases
Chapter 42: Photo-Electric Effect
Chapter 43: Bohrs Theory and Physics of Atom
Chapter 44: X-Rays
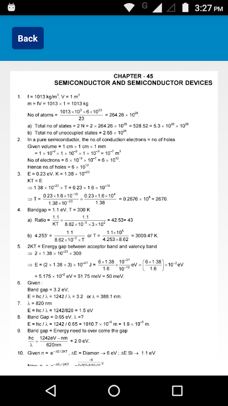
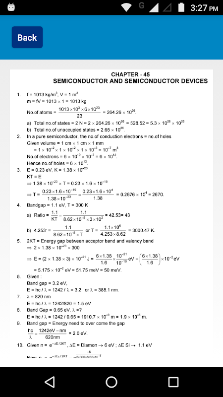
Chapter 45: Semiconductor and Semiconductor Devices
Chapter 46: The Nucleus
Chapter 47: The Special Theory of Relativity
Disclaimer: RSS and content has been taken from their official website.
What's new in the latest 0.2
Maklumat APK HC Verma Physics Solutions - Part 2
Versi lama HC Verma Physics Solutions - Part 2
HC Verma Physics Solutions - Part 2 0.2
Muat Turun Super Pantas dan Selamat melalui Apl APKPure
Satu klik untuk memasang fail XAPK/APK pada Android!






