HC Verma Physics Solutions - P
27.7 MB
اندازه فایل
Everyone
Android 4.0+
Android OS
دربارهی HC Verma Physics Solutions - P
HC Verma Physics Solutions -2 مخصوص دانشجویان کلاس NCERT طراحی شده است
HC Verma Physics Solutions -2 - برنامه ویژه ای برای دانش آموزان کلاس NCERT طراحی شده است که به آنها کمک می کند تا برای امتحانات خود در فیزیک آماده شوند. این برنامه با داشتن فصل راه حل های عاقلانه سوالات مربوط به تمرین مفاهیم فیزیک ، HC Verma Part-2. این بهترین برنامه برای فیزیک برای دانش آموزان برای امتحانات خود است.
این راه حل ها به طور گسترده در اینترنت موجود است. آنها در اینجا با ناوبری آسان به هر فصل و ناوبری مستقیم با استفاده از شماره فصل و شماره صفحه ارائه می شوند. این برنامه برای دانش آموزانی که برای امتحانات رقابتی بخصوص JEE (امتحان ورودی مشترک) کمک می کنند ، بسیار مفید است. این کتاب به عنوان بهترین کتاب برای آمادگی آزمون IIT / JEE توسط دانش آموزان ، معلمان در نظر گرفته شده است.
این برنامه دارای HC Verma Physics Solutions -2 می تواند برای تهیه IIT در دو سناریو مفید باشد:
- هنگام حل شدن سوالات تمرین ، راه حل را بررسی کنید
- برای تأیید پاسخ پس از حل سوالات تمرین
این برنامه شامل پاسخ های همه فصل های موجود در کتاب "مفاهیم فیزیک - قسمت 2" است:
فصل 23: گرما و دما
فصل 24: تئوری سینتیکی گازها
فصل 25: کالری سنجی
فصل 26: قوانین ترمودینامیک
فصل 27: ظرفیت های ویژه گرمائی گازها
فصل 28: انتقال حرارت
فصل 29: میدان الکتریکی و پتانسیل
فصل 30: قانون گاوس
فصل 31: خازن
فصل 32: جریان الکتریکی در رساناها
فصل 33: جریان الکتریکی
فصل 34: میدان مغناطیسی
فصل 35: میدان مغناطیسی به دلیل جریان
فصل 36: آهنرباهای دائمی
فصل 37: خواص مغناطیسی ماده
فصل 38: القای الکترومغناطیسی
فصل 39: جریان متناوب
فصل 40: امواج الکترومغناطیسی
فصل 41: جریان الکتریکی از طریق گازها
فصل 42: تأثیر عکس-الکتریکی
فصل 43: تئوری بورس و فیزیک اتم
فصل 44: اشعه ایکس
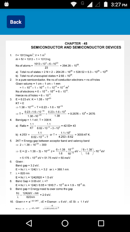
فصل 45: دستگاه های نیمه هادی و نیمه هادی
فصل 46: هسته
فصل 47: نظریه ویژه نسبیت
سلب مسئولیت: RSS و محتوا از وب سایت رسمی آنها گرفته شده است.
جدیدترین 0.2 چه خبر است
اطلاعات HC Verma Physics Solutions - P APK
نسخههای قدیمی HC Verma Physics Solutions - P
HC Verma Physics Solutions - P 0.2
دانلود فوق سریع و ایمن از طریق برنامه APKPure
برای نصب فایل های XAPK/APK در اندروید با یک کلیک!






