I E Irodov Solutions Part 1
28.3 MB
Saiz Fail
Everyone
Android 4.0.3+
Android OS
Mengenai I E Irodov Solutions Part 1
I E Irodov Solutions
Problems in General Physics is a book written by Igor Irodov and first published in 1981.
The book is extensively popular amongst students preparing for competitive exams, especially the JEE (Joint Entrance Examination). It is considered as the best book for IIT/JEE exam preparation by students, teachers.
Part 1. Physical Fundamentals of Mechanics
1.1 Kinematics
1.2 The Fundamental Equation of Dynamics
1.3 Laws of Conservation of Energy, Momentum, and Angular Momentum
1.4 Universal Gravitation
1.5 Dynamics of a Solid Body
1.6 Elastic Deformations of a Solid Body
1.7 Hydrodynamics
1.8 Relativistic Mechanics
Part 2. Thermodynamics and Molecular Physics
2.1 Equation of the Gas State. Processes
2.2 The First Law of Thermodynamics. Heat Capacity
2.3 Kinetic Theory of Gases. Boltzmann's Law and Maxwell's Distribution
2.4 The Second Law of Thermodynamics. Entropy
2.5 Liquids. Capillary Effects
2.6 Phase Transformations
2.7 Transport Phenomena
Part 3. Electrodynamics
3.1 Constant Electric Field in Vacuum
3.2 Conductors and Dielectrics in an Electric Field
3.3 Electric Capacitance. Energy of an Electric Field
3.4 Electric Current
3.5 Constant Magnetic Field. Magnetics
3.6 Electromagnetic Induction. Maxwell's Equations
3.7 Motion of Charged Particles in Electric and Magnetic Fields
I E Irodov Solutions Part 1 pdf
Problems in General Physics is a book written by Igor Irodov and first published in 1981. It is a collection of about 2000 physics problems in mechanics, thermodynamics, molecular physics, oscillations, and electromagnetism.In India, the book is used primarily by students preparing for the competitive engineering entrance examinations.
What's new in the latest 1.0
Maklumat APK I E Irodov Solutions Part 1
Versi lama I E Irodov Solutions Part 1
I E Irodov Solutions Part 1 1.0
Muat Turun Super Pantas dan Selamat melalui Apl APKPure
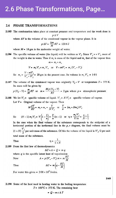
Satu klik untuk memasang fail XAPK/APK pada Android!



