I E Irodov Solutions Part 1
28.3 MB
Dung lượng tệp
Everyone
Android 4.0.3+
Android OS
Giới thiệu về I E Irodov Solutions Part 1
I E Irodov Solutions
Problems in General Physics is a book written by Igor Irodov and first published in 1981.
The book is extensively popular amongst students preparing for competitive exams, especially the JEE (Joint Entrance Examination). It is considered as the best book for IIT/JEE exam preparation by students, teachers.
Part 1. Physical Fundamentals of Mechanics
1.1 Kinematics
1.2 The Fundamental Equation of Dynamics
1.3 Laws of Conservation of Energy, Momentum, and Angular Momentum
1.4 Universal Gravitation
1.5 Dynamics of a Solid Body
1.6 Elastic Deformations of a Solid Body
1.7 Hydrodynamics
1.8 Relativistic Mechanics
Part 2. Thermodynamics and Molecular Physics
2.1 Equation of the Gas State. Processes
2.2 The First Law of Thermodynamics. Heat Capacity
2.3 Kinetic Theory of Gases. Boltzmann's Law and Maxwell's Distribution
2.4 The Second Law of Thermodynamics. Entropy
2.5 Liquids. Capillary Effects
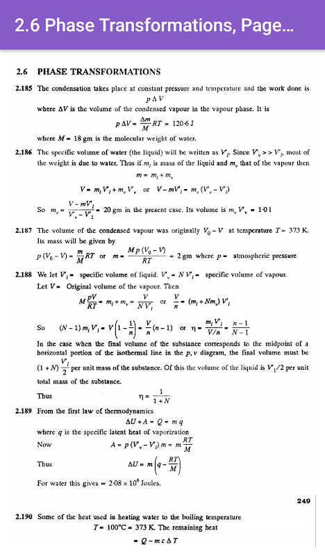
2.6 Phase Transformations
2.7 Transport Phenomena
Part 3. Electrodynamics
3.1 Constant Electric Field in Vacuum
3.2 Conductors and Dielectrics in an Electric Field
3.3 Electric Capacitance. Energy of an Electric Field
3.4 Electric Current
3.5 Constant Magnetic Field. Magnetics
3.6 Electromagnetic Induction. Maxwell's Equations
3.7 Motion of Charged Particles in Electric and Magnetic Fields
I E Irodov Solutions Part 1 pdf
Problems in General Physics is a book written by Igor Irodov and first published in 1981. It is a collection of about 2000 physics problems in mechanics, thermodynamics, molecular physics, oscillations, and electromagnetism.In India, the book is used primarily by students preparing for the competitive engineering entrance examinations.
What's new in the latest 1.0
Thông tin APK I E Irodov Solutions Part 1
Phiên bản cũ của I E Irodov Solutions Part 1
I E Irodov Solutions Part 1 1.0
Tải xuống siêu nhanh và an toàn thông qua Ứng dụng APKPure
Một cú nhấp chuột để cài đặt các tệp XAPK/APK trên Android!



