Over Calculus 2 Solver
Los Calculus 2-problemen op
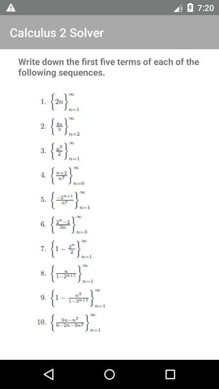
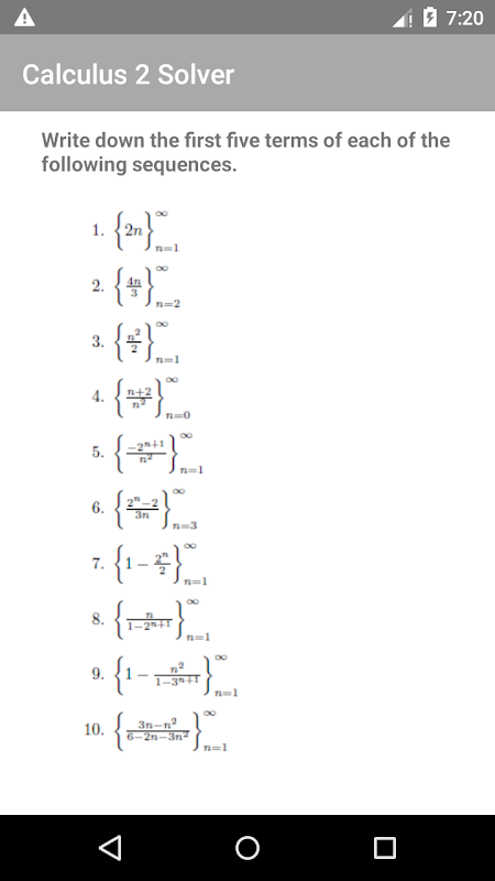
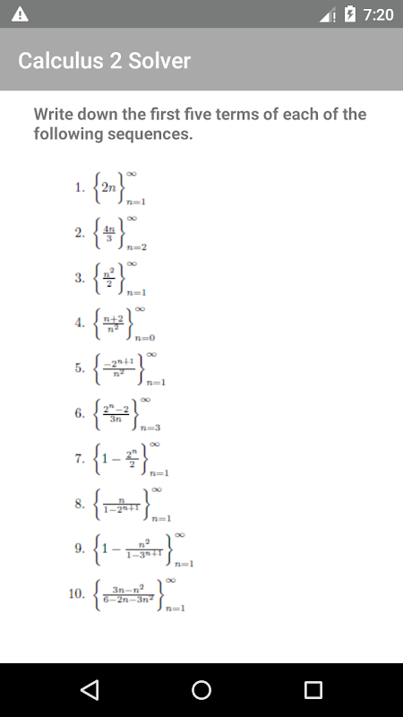
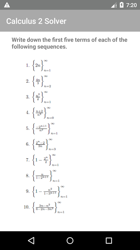
- Oplosser voor problemen in reeksen, reeksen en oneindige reeksen.
- Console om problemen programmatisch op te lossen
-Convergentie- en divergentietests Activiteiten
- Problemen om uw begrip te testen
What's new in the latest 1.0.1
Last updated on 2022-10-29
Fixed Bugs
Calculus 2 Solver APK -informatie
Laatste versie
1.0.1
Categorie
OnderwijsAndroid OS
Android 5.0+
Bestandsgrootte
15.8 MB
Ontwikkelaar
Matt EducationVeilige en snelle APK Downloads op APKPure
APKPure gebruikt handtekeningverificatie om virusvrije Calculus 2 Solver APK downloads voor u te garanderen.
Oude versies van Calculus 2 Solver
Calculus 2 Solver 1.0.1
15.8 MBOct 29, 2022

Supersnel en veilig downloaden via de APKPure-app
Eén klik om XAPK/APK-bestanden op Android te installeren!