About Calculus 2 Solver
Solve Calculus 2 Problems
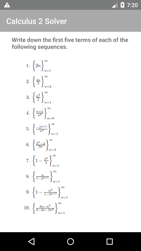
- Solver for Problems in Sequences, Series and Infinite Series.
- Console to Solve Problems programmatically
-Convergence and Divergences tests Activities
- Problems to test Your Understanding
What's new in the latest 1.0.1
Last updated on 2022-10-29
Fixed Bugs
Calculus 2 Solver APK Information
Safe & Fast APK Downloads on APKPure
APKPure uses signature verification to ensure virus-free Calculus 2 Solver APK downloads for you.
Old Versions of Calculus 2 Solver
Calculus 2 Solver 1.0.1
15.8 MBOct 29, 2022

Super Fast and Safe Downloading via APKPure App
One-click to install XAPK/APK files on Android!