Over Math Formula ( গণিতের সূত্র )
এপ্লিকেশনটিতে আপনি পাবেন গণিতের প্রয়োজনীয় প্রায় সকল সুত্রঃ
# পাটীগণিত
=> বিভাজ্যতা
=> ল সা গু , গ সা গু
=> অনুপাত
=> শতকরা হিসাব
=> লাভ ক্ষতি
=> সুদ এর হিসাব
# বীজগণিত
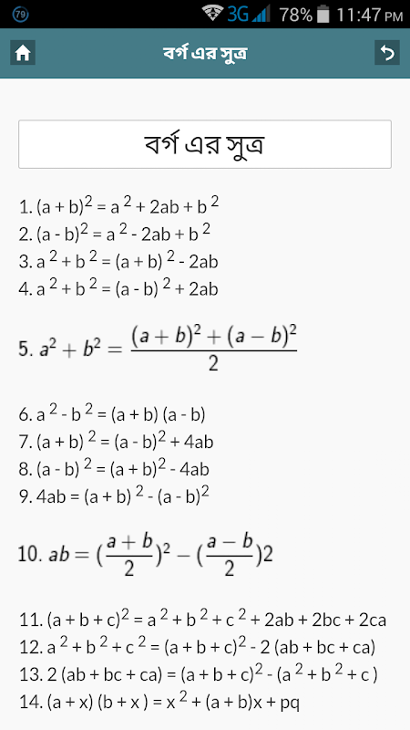
=> বর্গ এর সূত্র
=> ঘন এর সূত্র
=> দ্বিপদী ধারা
# জ্যামিতি
=> সাধারন কতিপয় সূত্র
=> সরল রেখা
=> কনিক সংক্রান্ত সূত্র
=> বৃত্ত সংক্রান্ত
# ক্যালকুলাস
=> ডিফারেনশিয়াল ক্যালকুলাস
=> ইন্ট্রিগাল ক্যালকুলাস
# ত্রিকোণমিতি
=> ত্রিকোণমিতির সাধারন কতিপয় সূত্র
=> বিপরীত বৃত্তীয় ফাংশন
=> ত্রিকোণমিতিক অনুপাত
# পরিমিতি
=> ত্রিভুজ
=> আয়তক্ষেত্র
=> বর্গ
=> সামান্তরিক
=> আয়তাকার ঘনবস্তু
=> রম্বস
=> বৃত্ত
=> ট্রাপিজিয়াম
=> বেলন / সিলিন্ডার
=> গোলক
=> কোনক
=> ঘনক
What's new in the latest 1.0.0
Last updated on Aug 24, 2015
Minor bug fixes and improvements. Install or update to the newest version to check it out!
Math Formula ( গণিতের সূত্র ) APK -informatie
Veilige en snelle APK Downloads op APKPure
APKPure gebruikt handtekeningverificatie om virusvrije Math Formula ( গণিতের সূত্র ) APK downloads voor u te garanderen.
Oude versies van Math Formula ( গণিতের সূত্র )
Math Formula ( গণিতের সূত্র ) 1.0.0
4.5 MBAug 24, 2015
Supersnel en veilig downloaden via de APKPure-app
Eén klik om XAPK/APK-bestanden op Android te installeren!



