关于Math Formula ( গণিতের সূত্র )
এপ্লিকেশনটিতেআপনিপাবেনগণিতেরপ্রয়োজনীয়প্রায়সকলসুত্রঃ
# পাটীগণিত
=> বিভাজ্যতা
=> ল সা গু , গ সা গু
=> অনুপাত
=> শতকরা হিসাব
=> লাভ ক্ষতি
=> সুদ এর হিসাব
# বীজগণিত
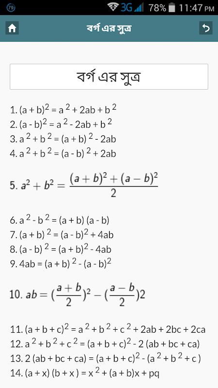
=> বর্গ এর সূত্র
=> ঘন এর সূত্র
=> দ্বিপদী ধারা
# জ্যামিতি
=> সাধারন কতিপয় সূত্র
=> সরল রেখা
=> কনিক সংক্রান্ত সূত্র
=> বৃত্ত সংক্রান্ত
# ক্যালকুলাস
=> ডিফারেনশিয়াল ক্যালকুলাস
=> ইন্ট্রিগাল ক্যালকুলাস
# ত্রিকোণমিতি
=> ত্রিকোণমিতির সাধারন কতিপয় সূত্র
=> বিপরীত বৃত্তীয় ফাংশন
=> ত্রিকোণমিতিক অনুপাত
# পরিমিতি
=> ত্রিভুজ
=> আয়তক্ষেত্র
=> বর্গ
=> সামান্তরিক
=> আয়তাকার ঘনবস্তু
=> রম্বস
=> বৃত্ত
=> ট্রাপিজিয়াম
=> বেলন / সিলিন্ডার
=> গোলক
=> কোনক
=> ঘনক
最新版本1.0.0的更新日志
Last updated on 2015年08月24日
Minor bug fixes and improvements. Install or update to the newest version to check it out!
Math Formula ( গণিতের সূত্র ) APK信息
在APKPure安全快速地下载APK
APKPure 使用签名验证功能,确保为您提供无病毒的 Math Formula ( গণিতের সূত্র ) APK 下载。
Math Formula ( গণিতের সূত্র )历史版本
Math Formula ( গণিতের সূত্র ) 1.0.0
4.5 MB2015年08月24日



