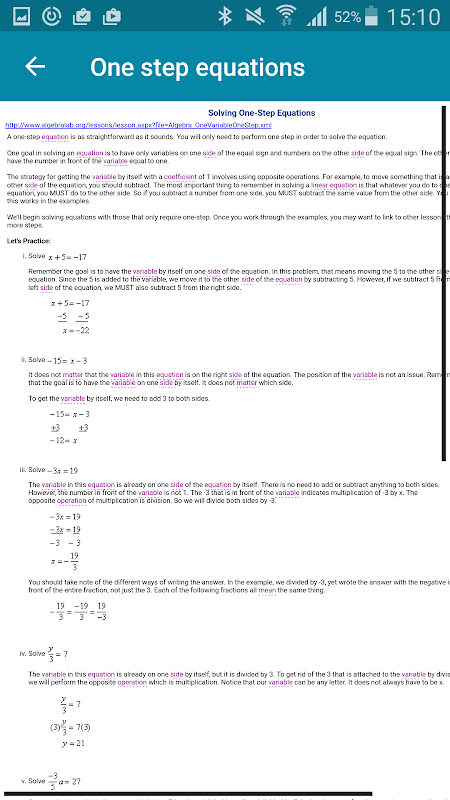
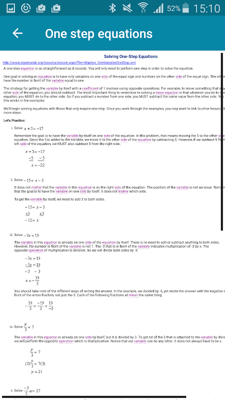
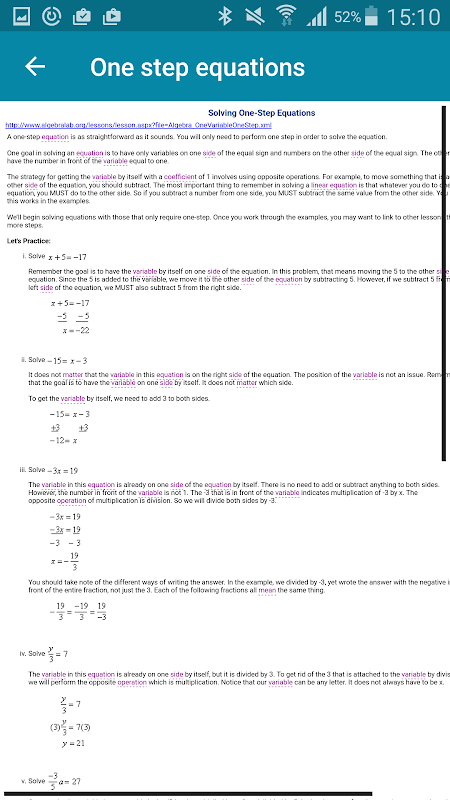
O NECSD Launchpad
NECSD jest Twój spersonalizowany cloud zapewnienie dostępu do szkoły na dowolnym urządzeniu.
Newburgh Launchpad is a personalized cloud desktop giving access to school from anywhere, from any device. Newburgh Launchpad’s multiple views include an innovatively simple virtual desktop and an empowering instructional desktop for all our staff and students.
Newburgh Launchpad gives our users real time access to their cloud folders, mapped Active Directory shared drives and Newburgh’s Instructional Apps in one easy to use interface.
What's new in the latest 28.0
Last updated on 2018-03-27
Bug fixing and improvements.
Informacje NECSD Launchpad APK
Bezpieczne i Szybkie Pobieranie APK na APKPure
APKPure używa weryfikacji podpisu, aby zapewnić bezpieczne pobieranie plików APK NECSD Launchpad bez wirusów dla Ciebie
Stare wersje NECSD Launchpad
NECSD Launchpad 28.0
6.6 MBMar 27, 2018
NECSD Launchpad 27.0
6.5 MBFeb 16, 2018
NECSD Launchpad 26.0
8.5 MBOct 26, 2017
NECSD Launchpad 25.0
8.5 MBOct 23, 2017
Superszybkie i bezpieczne pobieranie za pośrednictwem aplikacji APKPure
Jedno kliknięcie, aby zainstalować pliki XAPK/APK na Androidzie!







