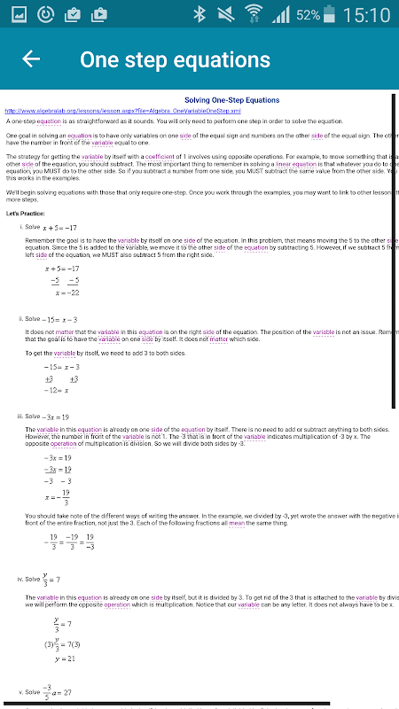
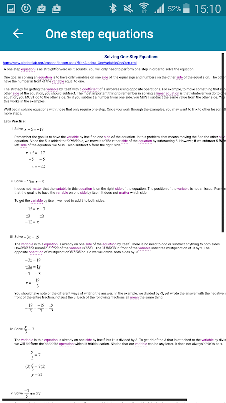
دربارهی NECSD Launchpad
NECSD is your personalized cloud providing access to school on any device.
Newburgh Launchpad is a personalized cloud desktop giving access to school from anywhere, from any device. Newburgh Launchpad’s multiple views include an innovatively simple virtual desktop and an empowering instructional desktop for all our staff and students.
Newburgh Launchpad gives our users real time access to their cloud folders, mapped Active Directory shared drives and Newburgh’s Instructional Apps in one easy to use interface.
جدیدترین 28.0 چه خبر است
Last updated on 2018-03-27
Bug fixing and improvements.
اطلاعات NECSD Launchpad APK
ایمن و سریع APK دانلود در APKPure
APKPure از تأیید امضای نرمافزار برای اطمینان از دانلودهای بدون ویروس APK NECSD Launchpad استفاده میکند.
نسخههای قدیمی NECSD Launchpad
NECSD Launchpad 28.0
6.6 MB27/03/2018
NECSD Launchpad 27.0
6.5 MB16/02/2018
NECSD Launchpad 26.0
8.5 MB26/10/2017
NECSD Launchpad 25.0
8.5 MB23/10/2017
دانلود فوق سریع و ایمن از طریق برنامه APKPure
برای نصب فایل های XAPK/APK در اندروید با یک کلیک!







