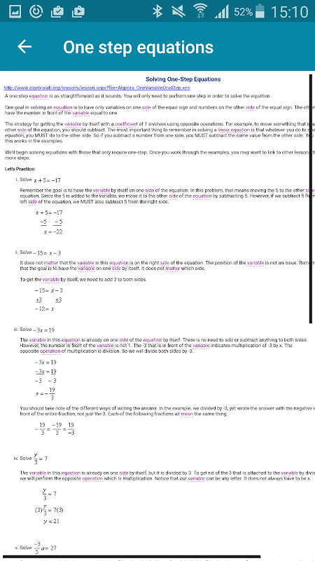
Oписание ISD Classlink LaunchPad
Issaquah SD является персональной облако предоставления доступа к школе на любом устройстве
ISD Classlink LaunchPad is your personalized cloud desktop providing access to school from anywhere on any device. ISD Classlink LaunchPad is ideal for empowering students and staff to maximize academic effort by facilitating access to academic tools using your personal virtual instructional desktop.
With more and different devices showing up in the classrooms today, users expecting 24/7 access, and schools needing to lower costs, a different approach is needed and quick.
ISD Classlink LaunchPad gives you real time access to your cloud folders, any mapped Active Directory shares and Apps if your school or organization has ISD Classlink LaunchPad.
Seamlessly access all your files:
Dropbox
Google Drive
SkyDrive
School Network
ISD Classlink LaunchPad Cloud Drive
Now with printing support! Print your documents to any Air Print connected printer.
PLEASE NOTE: Your school or organization must have ISD Classlink LaunchPad WEB EDITION for this app to work.
Что нового в последней версии 28.0
Информация ISD Classlink LaunchPad APK
Старые Версии ISD Classlink LaunchPad
ISD Classlink LaunchPad 28.0
ISD Classlink LaunchPad 27.0
ISD Classlink LaunchPad 4.0
ISD Classlink LaunchPad 2.0
Супер Быстрая и Безопасная Загрузка через Приложение APKPure
Один клик для установки XAPK/APK файлов на Android!







