RD Sharma Class 9th Math Solut
31.1 MB
Размер файла
Everyone
Android 4.1+
Android OS
Oписание RD Sharma Class 9th Math Solut
RD Sharma Class 9th Math Solutions - специально разработан для класса CBSE 9
RD Sharma Class 9th Math Solutions app is specially designed for the CBSE class 9 students to help them prepare for their exams in Maths. It also helps them throughout the year to complete their homework on time and double check the answers.
This app having Maths Class 9 CBSE Solutions (NCERT syllabus - RD Sharma book) can be useful in many scenarios like to check the CBSE Science Class 9 Solutions when student stuck solving the questions also they can verify answers after solve the exercise questions. App content complete solutions for RD Sharma Maths 9th syllabus including below chapters:
Chapter 1 - Number System
Chapter 2 - Exponents of Real Numbers
Chapter 3 - Rationalisation
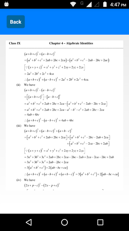
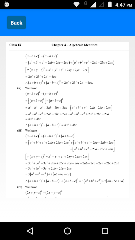
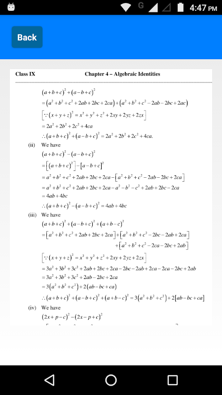
Chapter 4 - Algebraic Identities
Chapter 5 - Factorization of Algebraic Expressions
Chapter 6 - Factorization of Polynomials
Chapter 7 - Introduction to Euclid's Geometry
Chapter 8 - Lines and Angles
Chapter 9 - Triangle and its Angles
Chapter 10 - Congruent Triangles
Chapter 11 - Coordinate Geometry
Chapter 12 - Heron's Formula
Chapter 13 - Linear Equations in Two Variables
Chapter 14 - Quadrilaterals
Chapter 15 - Areas of Parallelograms and Triangles
Chapter 16 - Circles
Chapter 17 - Construction
Chapter 18 - Surface Area and Volume of a Cuboid and Cube
Chapter 19 - Surface Area and Volume of A Right Circular Cylinder
Chapter 20 - Surface Area and Volume of A Right Circular Cone
Chapter 21 - Surface Area and Volume of a Sphere
Chapter 22 - Tabular Representation of Statistical Data
Chapter 23 - Graphical Representation of Statistical Data
Chapter 24 - Measures of Central Tendency
Chapter 25 - Probability
Features:
• RD Sharma Class 9th Math solutions via social media and whatsapp with your friends
• Detailed Chapterwise Answered and solutions for RD Sharma Class 9th Math
• Available for Tablets
Disclaimer: RSS and content has been taken from their official website.
Что нового в последней версии 0.2
Информация RD Sharma Class 9th Math Solut APK
Старые Версии RD Sharma Class 9th Math Solut
RD Sharma Class 9th Math Solut 0.2
RD Sharma Class 9th Math Solut 0.1
Супер Быстрая и Безопасная Загрузка через Приложение APKPure
Один клик для установки XAPK/APK файлов на Android!





