เกี่ยวกับ CIE A Level Maths M1 Yearly
Detailed Worked Solutions For CIE A Level Maths M1 Yearly 9709
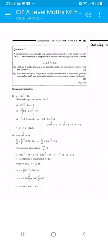
This book contains Past Exam papers of international A Level Mathematics (9709) from June 2005 to November 2021, Mechanics 1 (M1) with step-by-step full worked solutions. The questions, are arranged in yearly form so that the students can revise and practice systematically.
Questions from past examinations have always proved to be the best practice for students. Students are able to apply what they have learnt. This book is also a very useful study guide for students as they can practice the questions, and then check their working and answers . This book is highly recommended for the students who are preparing for the A Level Mathematics examination.
The Physical book is from June 2006 to November 2021 and costs Rs 375. Whatsapp us for your order on +23057125974.
What's new in the latest 1.0.0
ข้อมูล CIE A Level Maths M1 Yearly APK
CIE A Level Maths M1 Yearly ทางเลือก
การดาวน์โหลดที่รวดเร็วและปลอดภัยเป็นพิเศษผ่านแอป APKPure
คลิกเพียงครั้งเดียวเพื่อติดตั้งไฟล์ XAPK/APK บน Android!







