عن CIE A Level Maths M1 Yearly
حلول مفصّلة مفصّلة لـ CIE A Level Maths M1 سنويًا 9709
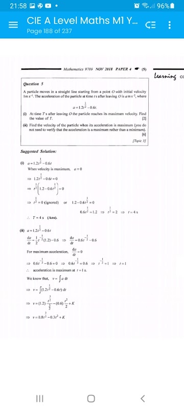
يحتوي هذا الكتاب على أوراق الامتحان السابقة للرياضيات الدولية A Level (9709) من يونيو 2005 إلى نوفمبر 2021 ، الميكانيكا 1 (M1) مع حلول عملية كاملة خطوة بخطوة. يتم ترتيب الأسئلة في شكل سنوي حتى يتمكن الطلاب من مراجعتها وممارستها بشكل منهجي.
لطالما أثبتت الأسئلة من الاختبارات السابقة أنها أفضل ممارسة للطلاب. الطلاب قادرون على تطبيق ما تعلموه. هذا الكتاب هو أيضًا دليل دراسة مفيد جدًا للطلاب حيث يمكنهم ممارسة الأسئلة ، ثم التحقق من عملهم وإجاباتهم. يوصى بشدة بهذا الكتاب للطلاب الذين يستعدون لامتحان المستوى A في الرياضيات.
الكتاب المادي من يونيو 2006 إلى نوفمبر 2021 وتكلفته 375 روبية. Whatsapp لنا لطلبك على + 23057125974.
What's new in the latest 1.0.0
Last updated on 30/08/2022
Minor bug fixes and improvements. Install or update to the newest version to check it out!
معلومات CIE A Level Maths M1 Yearly APK
تنزيلات APK آمنة وسريعة على موقع APKPure
يستخدم APKPure التحقق من التوقيع لضمان تقديم تنزيلات خالية من الفيروسات لـ CIE A Level Maths M1 Yearly APK لك.
CIE A Level Maths M1 Yearly البديل
Anagnorisis Past Exam Papers
Anagnorisis Educational Services
CIE A Level Accounting Topical
Anagnorisis Educational Services
A Level Chemistry P4 Topical
Anagnorisis Educational Services
CIE A Level Biology Yearly
Anagnorisis Educational Services
A Level Biology P2 Topical
Anagnorisis Educational Services
CIE A Level Business Yearly
Anagnorisis Educational Services
قم بتنزيل سريع وآمن بالغاية عبر تطبيق APKPure
قم بتثبيت ملفات XAPK/APK بنقرة واحدة على أندرويد!







