عن Calculus Formula
مرجع لصيغ حساب التفاضل والتكامل.
Calculus Reference.
This app helps you brush up on your calculus formulas. This is a must have calculus cheat sheet for any student studying calculus.
The topics included in this calculus helper are :
Trigonometry Formulas
Limit Formulas
Derivative Formulas
Differentiation Formulas
Integration Formulas
Integral Formulas
Laplace Formulas
Series Formulas
Vector Calculus Formulas
1. Trigonometric
Pythagorean Identity
Even and Odd Identity
Co-Function Identity
Right Angle Identity
Double Angle Identity
Triple Angle Identity
Half Angle Identity
Power Reduction Identity
Sum and Difference Identity
Sum to Product Identity
Exponential Identity
Hyperbolic Identity
2. Limit
Limit Definition
Limit Properties
Evaluations at Infinity
L'Hopital's Rule
3. Differentiation Formula
Derivative Definition
Derivative Properties
Mean Value Theorem
Differentiation Rule
Polynomials
Trigonometric
Inverse Trigonometric
Hyperbolic
Inverse Hyperbolic
Exponential and Logarithmic
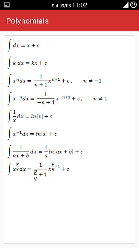
4. Integration
Integral Definition
Integral Properties
Integration Rules
Approximation
Polynomials
Algebraic
Trigonometric
Inverse Trigonometric
Hyperbolic
Inverse Hyperbolic
Logarithmic and Exponential
Miscellaneous
5. Laplace
Laplace Definition
Laplace Properties
Laplace Theorems
Laplace Derivative
Laplace Integration
Laplace Logarithmic
Laplace Exponential
Laplace Polynomial
Laplace Trigonometric and Hyperbolic
Laplace Miscellaneous
6. Series
Basics
Arithmetic Series
Geometric Series
Harmonic Series
Alternating Series
Ratio Test
Comparison Test
Integral Test
Logarithmic Test
Raabe's Test
Root Test
Taylor's and Mclaurin Series
Power Series
7. Vector Calculus
Vector Derivative
Vector Integration
Gradient
Divergence
Curl
Directional Derivative
Line Integral
Green's Theorem
Stoke's Theorem
Gauss Divergence Theorem
Surface Integral
What's new in the latest 1.0
معلومات Calculus Formula APK
الإصدارات القديمة لـ Calculus Formula
Calculus Formula 1.0
قم بتنزيل سريع وآمن بالغاية عبر تطبيق APKPure
قم بتثبيت ملفات XAPK/APK بنقرة واحدة على أندرويد!







