All Math Formulas সম্পর্কে
বীজগণিত, জ্যামিতি, ত্রিকোণমিতি এবং ক্যালকুলাস সহ সমস্ত গণিত সূত্র এক জায়গায়।
সমস্ত গণিত সূত্র গণিত উত্সাহী এবং ছাত্রদের জন্য ডিজাইন করা একটি ব্যাপক Android অ্যাপ। এই অ্যাপটি হল আপনার সমস্ত প্রয়োজনীয় গণিত সূত্রের জন্য এক জায়গায়, সমস্ত সুবিধামত অফলাইনে অ্যাক্সেসযোগ্য। ইন্টারনেট সংযোগের প্রয়োজন নেই - যে কোনো সময়, যে কোনো জায়গায় সূত্রগুলি অ্যাক্সেস করুন!
এই অ্যাপটিতে, আপনি 1000+ গণিতের সূত্র এবং সমীকরণ পাবেন। সূত্রের সাহায্যে, আপনি সঠিক ডায়াগ্রাম পাবেন, যাতে আপনি সহজেই সূত্র বুঝতে পারবেন। আপনি এই অ্যাপ থেকে সহজেই বিভিন্ন সমীকরণ পড়তে পারেন।
এই গণিত সমীকরণ অ্যাপের মূল বৈশিষ্ট্য:
অফলাইন অ্যাক্সেস: ইন্টারনেট সংযোগের প্রয়োজন ছাড়াই 1000 টির বেশি গণিত সূত্র অ্যাক্সেস করার সুবিধা উপভোগ করুন৷
বিস্তৃত কভারেজ: মৌলিক পাটিগণিত থেকে শুরু করে উন্নত ক্যালকুলাস, রৈখিক বীজগণিত এবং এর বাইরেও, এই অ্যাপটি সবই কভার করে।
ভিজ্যুয়াল লার্নিং: যখন প্রয়োজন হয়, সমীকরণগুলি ডায়াগ্রামও অন্তর্ভুক্ত করে, একটি সূত্রের আরও ভাল বোঝার সুবিধার্থে একটি চাক্ষুষ সহায়তা নিশ্চিত করে।
নিয়মিত আপডেট: সর্বশেষ গাণিতিক ধারণা এবং সূত্রের সাথে এগিয়ে থাকুন। নতুন বিষয়বস্তু অন্তর্ভুক্ত করতে এবং বিদ্যমান উপাদান উন্নত করতে এই অ্যাপটি নিয়মিত আপডেট করা হয়।
আপনি পরীক্ষার জন্য প্রস্তুতি নিচ্ছেন, একটি গণিত-সম্পর্কিত প্রকল্প মোকাবেলা করছেন, বা আপনার দক্ষতার উপর কেবল ব্রাশ করছেন, সমস্ত গণিত সূত্র হল নিখুঁত সঙ্গী। আজই অ্যাপটি ডাউনলোড করুন এবং গণিতের জগতের মাধ্যমে একটি নির্বিঘ্ন যাত্রা শুরু করুন!
এই অ্যাপটিতে, আপনি গণিতের সূত্র পাবেন এবং সমীকরণগুলি অন্তর্ভুক্ত করে:
বীজগণিত সূত্র এবং সমীকরণ।
জ্যামিতির সূত্র এবং সমীকরণ।
ত্রিকোণমিতির সূত্র এবং সমীকরণ।
এই অ্যাপের ক্যালকুলাস বিভাগে, আপনি এর সূত্র পাবেন:
সীমা
ডেরিভেটিভস
অখণ্ড
এই অ্যাপের বেসিক প্রোপার্টি এবং ফ্যাক্টসে, আপনি এর সূত্র পাবেন:
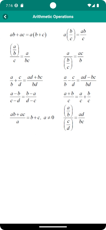
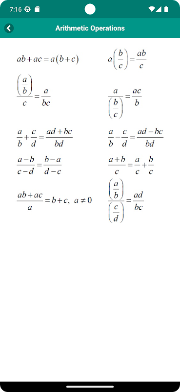
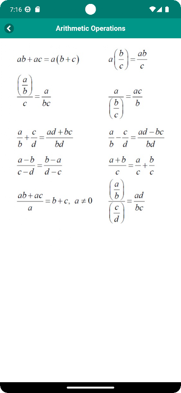
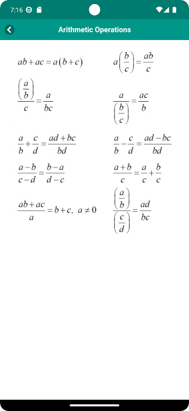
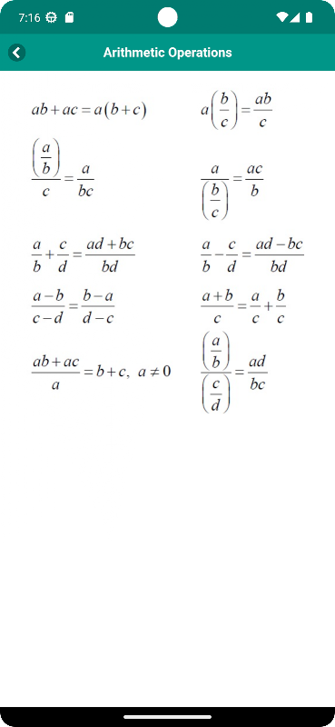
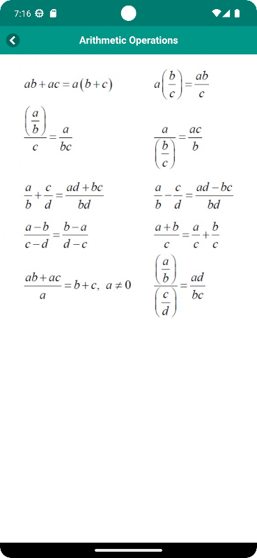
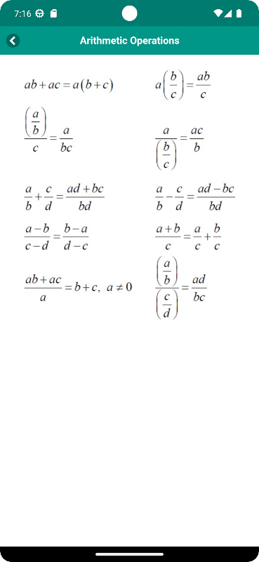
গাণিতিক অপারেশন
সূচক বৈশিষ্ট্য
র্যাডিকেলের বৈশিষ্ট্য
বৈষম্যের বৈশিষ্ট্য
পরম মূল্যের বৈশিষ্ট্য
দূরত্ব সূত্র
জটিল সংখ্যা
লগারিদম এবং লগ বৈশিষ্ট্য
ফ্যাক্টরিং এবং সমাধান
ফ্যাক্টরিং সূত্র
দ্বিঘাত সূত্র
বর্গমূল সম্পত্তি
পরম মূল্য সমীকরণ/বৈষম্য
স্কোয়ার সম্পূর্ণ করা হচ্ছে
ফাংশন এবং গ্রাফ
ধ্রুবক ফাংশন
লাইন/লিনিয়ার ফাংশন
প্যারাবোলা/চতুর্মুখী ফাংশন
বৃত্ত
উপবৃত্ত
অধিবৃত্ত
এই অ্যাপের জ্যামিতি সূত্র বিভাগে, আপনি এর সূত্র পাবেন:
বর্গক্ষেত্র
আয়তক্ষেত্র
বৃত্ত
ত্রিভুজ
সমান্তরাল বৃত্ত
ট্র্যাপিজয়েড
ঘনক
সিলিন্ডার
গোলক
শঙ্কু
সব এক
জ্যামিতিক চিহ্ন
ত্রিকোণমিতি ফাংশন
বিশেষ কোণ
Quadrants II, III, এবং IV এ ত্রিকোণমিতিক ফাংশন মান
ইউনিট সার্কেল
কোণ সংযোজন সূত্র
ডাবল অ্যাঙ্গেল সূত্র
অর্ধকোণ সূত্র
শক্তি হ্রাস সূত্র
প্রোডাক্ট-টু-সাম সূত্র
কোফাংশন সূত্র
সাইন্সের আইন
কোসাইনের আইন
স্পর্শক আইন
পিথাগোরিয়ান আইডেন্টিটিস (যেকোন কোণের জন্য θ)
Mollweide এর সূত্র
সীমা সংজ্ঞা
সীমা এবং একতরফা সীমার মধ্যে সম্পর্ক
সীমিত বৈশিষ্ট্য সূত্র
মৌলিক সীমা মূল্যায়ন সূত্র
মূল্যায়ন কৌশল সূত্র
কিছু একটানা ফাংশন
মধ্যবর্তী মান উপপাদ্য
ডেরিভেটিভস সংজ্ঞা এবং স্বরলিপি
ডেরিভেটিভের ব্যাখ্যা
মৌলিক বৈশিষ্ট্য এবং সূত্র
সাধারণ ডেরিভেটিভস
চেইন নিয়ম বৈকল্পিক
উচ্চ অর্ডার ডেরিভেটিভস
অন্তর্নিহিত বিভেদ
বৃদ্ধি/হ্রাস - অবতল উপরে/অতল নিচে
চরম
গড় মান উপপাদ্য
নিউটনের পদ্ধতি
সম্পর্কিত হার
অপ্টিমাইজেশান
অখণ্ড সংজ্ঞা
ক্যালকুলাসের মৌলিক উপপাদ্য
বৈশিষ্ট্য
কমন ইন্টিগ্রেল
স্ট্যান্ডার্ড ইন্টিগ্রেশন কৌশল
অনুপযুক্ত ইন্টিগ্রাল
আনুমানিক নির্দিষ্ট ইন্টিগ্রেল
What's new in the latest 2.4
All Math Formulas APK Information
All Math Formulas এর পুরানো সংস্করণ
All Math Formulas 2.4
All Math Formulas 2.3
All Math Formulas 2.2
All Math Formulas 2.1
APKPure অ্যাপের মাধ্যমে অতি দ্রুত এবং নিরাপদ ডাউনলোড করা হচ্ছে
Android-এ XAPK/APK ফাইল ইনস্টল করতে এক-ক্লিক করুন!







