Giới thiệu về All Math Formulas
Tất cả các công thức toán học với đại số, hình học, lượng giác và phép tính ở một nơi.
Tất cả các công thức toán học là một ứng dụng Android toàn diện được thiết kế dành cho sinh viên và những người đam mê toán học. Ứng dụng này là nguồn tài nguyên cần thiết cho tất cả các công thức toán học cần thiết ở một nơi, tất cả đều có thể truy cập ngoại tuyến một cách thuận tiện. Không cần kết nối internet - truy cập các công thức mọi lúc, mọi nơi!
Trong ứng dụng này, bạn sẽ nhận được hơn 1000 công thức và phương trình toán học. Với công thức, bạn sẽ có được sơ đồ phù hợp để bạn có thể hiểu công thức một cách dễ dàng. Bạn có thể đọc các phương trình khác nhau một cách dễ dàng từ ứng dụng này.
Các tính năng chính của ứng dụng phương trình toán học này:
Truy cập ngoại tuyến: Tận hưởng sự tiện lợi khi truy cập hơn 1000 công thức toán học mà không cần kết nối internet.
Phạm vi toàn diện: Từ số học cơ bản đến phép tính nâng cao, đại số tuyến tính và hơn thế nữa, ứng dụng này bao gồm tất cả.
Học trực quan: Khi được yêu cầu, các phương trình cũng bao gồm sơ đồ, đảm bảo hỗ trợ trực quan để giúp học sinh hiểu rõ hơn về công thức.
Cập nhật thường xuyên: Luôn cập nhật các khái niệm và công thức toán học mới nhất. Ứng dụng này được cập nhật thường xuyên để bao gồm nội dung mới và cải thiện tài liệu hiện có.
Cho dù bạn đang chuẩn bị cho kỳ thi, giải quyết một dự án liên quan đến toán học hay chỉ đơn giản là rèn luyện các kỹ năng của mình, All Math Formulas là người bạn đồng hành hoàn hảo. Tải ứng dụng ngay hôm nay và bắt đầu cuộc hành trình liền mạch xuyên qua thế giới toán học!
Trong ứng dụng này, bạn sẽ nhận được công thức toán học và phương trình bao gồm:
Công thức đại số và phương trình.
Công thức và phương trình hình học.
Các công thức và phương trình lượng giác.
Trong phần Giải tích của ứng dụng này, bạn sẽ nhận được các công thức:
Hạn mức
Các dẫn xuất
tích phân
Trong Thuộc tính & Sự kiện cơ bản của ứng dụng này, bạn sẽ nhận được các công thức:
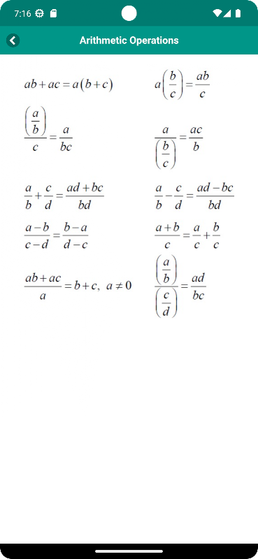
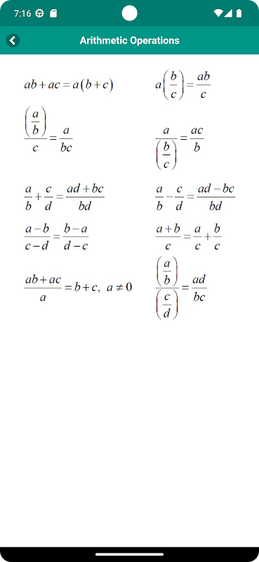
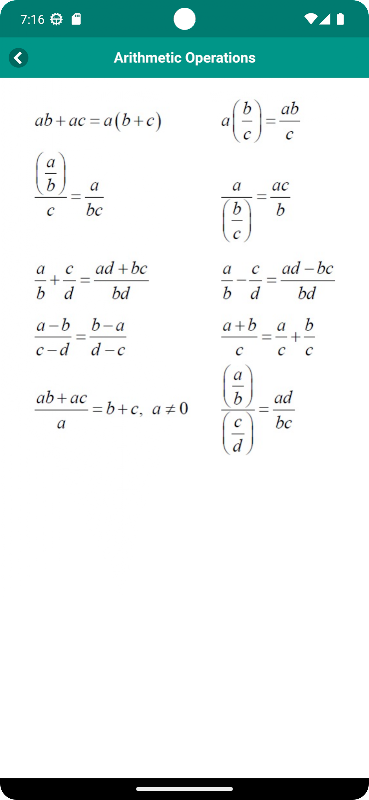
Các phép tính toán học
Thuộc tính số mũ
Thuộc tính của cấp tiến
Tính chất của bất đẳng thức
Thuộc tính của giá trị tuyệt đối
Công thức khoảng cách
Số phức
Logarit và thuộc tính nhật ký
Phân tích nhân tử và giải
Công thức nhân tử
Công thức phương trình bậc hai
Thuộc tính căn bậc hai
Phương trình giá trị tuyệt đối/Bất đẳng thức
Hoàn thiện hình vuông
Hàm và đồ thị
Hàm Hằng
Hàm đường/tuyến tính
Parabol/Hàm bậc hai
Vòng tròn
hình elip
Hyperbol
Trong phần công thức Hình học của ứng dụng này, bạn sẽ nhận được các công thức:
Quảng trường
Hình chữ nhật
Vòng tròn
Hình tam giác
Hình bình hành
Hình thang
khối lập phương
Hình trụ
Quả cầu
hình nón
Tất cả hợp lại thành một
Ký hiệu hình học
Hàm lượng giác
Góc đặc biệt
Giá trị hàm lượng giác trong Góc phần tư II, III và IV
Vòng tròn đơn vị
Công thức cộng góc
Công thức góc đôi
Công thức nửa góc
Công thức giảm năng lượng
Công thức tính tổng
Công thức đồng chức năng
Định luật sin
Định luật Cosin
Định luật tiếp tuyến
Danh tính Pythagore (với mọi góc θ)
Công thức Mollweide
Định nghĩa giới hạn
Mối quan hệ giữa giới hạn và giới hạn một phía
Công thức thuộc tính giới hạn
Công thức đánh giá giới hạn cơ bản
Công thức kỹ thuật đánh giá
Một số hàm liên tục
Định lý giá trị trung gian
Định nghĩa và ký hiệu phái sinh
Giải thích đạo hàm
Các thuộc tính và công thức cơ bản
Công cụ phái sinh thông dụng
Các biến thể của quy tắc chuỗi
Các dẫn xuất bậc cao hơn
Sự khác biệt tiềm ẩn
Tăng/Giảm – Lõm Lên/Lõm Xuống
Cực đoan
Định lý giá trị trung bình
Phương pháp Newton
Giá liên quan
Tối ưu hóa
Định nghĩa tích phân
Định lý cơ bản của phép tính
Của cải
Tích phân chung
Kỹ thuật tích hợp tiêu chuẩn
Tích phân không đúng
Xấp xỉ tích phân xác định
What's new in the latest 2.4
Thông tin APK All Math Formulas
Phiên bản cũ của All Math Formulas
All Math Formulas 2.4
All Math Formulas 2.3
All Math Formulas 2.2
All Math Formulas 2.1
Tải xuống siêu nhanh và an toàn thông qua Ứng dụng APKPure
Một cú nhấp chuột để cài đặt các tệp XAPK/APK trên Android!







