Oписание All Math Formulas
Все математические формулы с алгеброй, геометрией, тригонометрией и исчислением в одном месте.
All Math Formulas — это комплексное приложение для Android, предназначенное для любителей математики и студентов. Это приложение — ваш универсальный ресурс, где собраны все основные математические формулы и все они легко доступны в автономном режиме. Нет необходимости в подключении к Интернету – получите доступ к формулам в любое время и в любом месте!
В этом приложении вы получите более 1000 математических формул и уравнений. С формулой вы получите правильную диаграмму, так что вы легко поймете формулу. В этом приложении вы можете легко читать различные уравнения.
Ключевые особенности этого приложения математических уравнений:
Автономный доступ: наслаждайтесь удобством доступа к более чем 1000 математическим формулам без необходимости подключения к Интернету.
Всеобъемлющий охват: это приложение охватывает все: от базовой арифметики до сложных вычислений, линейной алгебры и т. д.
Визуальное обучение: при необходимости уравнения также включают диаграмму, обеспечивающую наглядное пособие для лучшего понимания формулы.
Регулярные обновления. Следите за новейшими математическими концепциями и формулами. Это приложение регулярно обновляется, включая новый контент и улучшая существующий материал.
Готовитесь ли вы к экзаменам, выполняете проект, связанный с математикой, или просто совершенствуете свои навыки, All Math Formulas — идеальный компаньон. Загрузите приложение сегодня и отправляйтесь в увлекательное путешествие по миру математики!
В этом приложении вы получите математические формулы и уравнения, включая:
Алгебрические формулы и уравнения.
Формулы и уравнения геометрии.
Формулы и уравнения тригонометрии.
В разделе «Исчисление» этого приложения вы получите формулы:
Пределы
Производные
Интегралы
В разделе «Основные свойства и факты» этого приложения вы получите формулы:
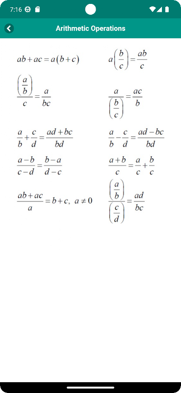
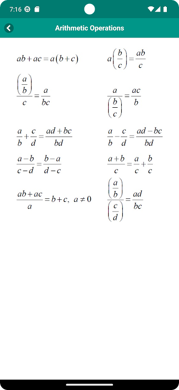
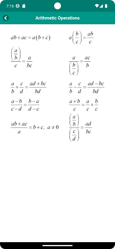
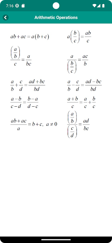
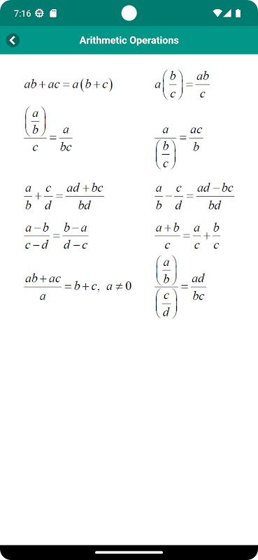
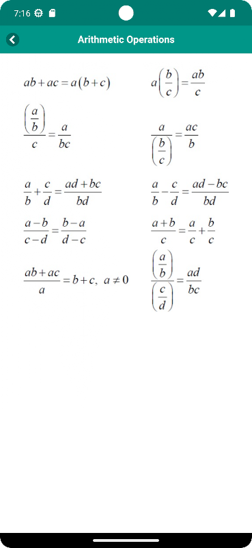
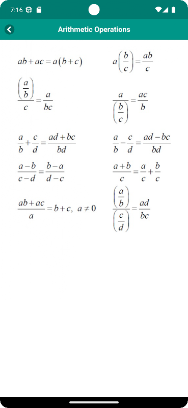
Арифметические операции
Свойства экспоненты
Свойства радикалов
Свойства неравенств
Свойства абсолютной ценности
Формула расстояния
Комплексные числа
Логарифмы и свойства журнала
Факторинг и решение
Формулы факторинга
Квадратичная формула
Свойство квадратного корня
Уравнения/неравенства абсолютных значений
Завершение площади
Функции и графики
Постоянная функция
Линейная/линейная функция
Парабола/квадратическая функция
Круг
Эллипс
Гипербола
В разделе «Формулы геометрии» этого приложения вы получите формулы:
Квадрат
Прямоугольник
Круг
Треугольники
Параллелограмм
Трапеция
Куб
Цилиндр
Сфера
Конус
Все в одном
Геометрические символы
Тригонометрические функции
Специальные углы
Значения тригонометрической функции в квадрантах II, III и IV
Единичный круг
Формулы сложения углов
Формулы двойного угла
Формулы половинного угла
Формулы снижения мощности
Формулы произведения в сумму
Формулы кофункций
Закон синусов
Закон косинусов
Закон касательных
Пифагорейские тождества (для любого угла θ)
Формула Молвейде
Определения пределов
Связь между пределом и односторонними пределами
Формулы свойств пределов
Основные формулы оценки лимитов
Формулы методов оценки
Некоторые непрерывные функции
Теорема о промежуточном значении
Определение и обозначения производных
Интерпретация производной
Основные свойства и формулы
Общие производные
Варианты цепного правила
Производные высшего порядка
Неявное дифференцирование
Увеличение/Уменьшение – Вогнутость вверх/Вогнутость вниз
Экстрема
Теорема о среднем значении
Метод Ньютона
Сопутствующие цены
Оптимизация
Определения интегралов
Основная теорема исчисления
Характеристики
Общие интегралы
Стандартные методы интеграции
Несобственный интеграл
Приближение определенных интегралов
Что нового в последней версии 2.4
Информация All Math Formulas APK
Старые Версии All Math Formulas
All Math Formulas 2.4
All Math Formulas 2.3
All Math Formulas 2.2
All Math Formulas 2.1
Популярные Приложения за Последние 24 Часа
Супер Быстрая и Безопасная Загрузка через Приложение APKPure
Один клик для установки XAPK/APK файлов на Android!







