เกี่ยวกับ All Math Formulas
สูตรคณิตศาสตร์ทั้งหมดที่มีพีชคณิต เรขาคณิต ตรีโกณมิติ และแคลคูลัสในที่เดียว
All Math Formulas เป็นแอป Android ที่ครอบคลุมซึ่งออกแบบมาสำหรับผู้ที่ชื่นชอบคณิตศาสตร์และนักเรียน แอปนี้เป็นแหล่งข้อมูลสำหรับสูตรคณิตศาสตร์ที่จำเป็นทั้งหมดไว้ในที่เดียว ซึ่งเข้าถึงได้สะดวกแบบออฟไลน์ ไม่จำเป็นต้องเชื่อมต่ออินเทอร์เน็ต - เข้าถึงสูตรได้ทุกที่ทุกเวลา!
ในแอพนี้คุณจะได้รับสูตรและสมการทางคณิตศาสตร์มากกว่า 1,000 รายการ ด้วยสูตรคุณจะได้แผนภาพที่ถูกต้องเพื่อให้คุณเข้าใจสูตรได้ง่าย คุณสามารถอ่านสมการต่าง ๆ ได้อย่างง่ายดายจากแอพนี้
คุณสมบัติที่สำคัญของแอปสมการคณิตศาสตร์นี้:
การเข้าถึงแบบออฟไลน์: เพลิดเพลินกับความสะดวกสบายในการเข้าถึงสูตรทางคณิตศาสตร์มากกว่า 1,000 สูตรโดยไม่จำเป็นต้องเชื่อมต่ออินเทอร์เน็ต
ความครอบคลุมที่ครอบคลุม: ตั้งแต่เลขคณิตพื้นฐานไปจนถึงแคลคูลัสขั้นสูง พีชคณิตเชิงเส้น และอื่นๆ อีกมากมาย แอปนี้ครอบคลุมทุกอย่าง
การเรียนรู้จากภาพ: เมื่อจำเป็น สมการยังรวมถึงไดอะแกรมด้วย ซึ่งช่วยให้มั่นใจว่ามีการมองเห็นเพื่อช่วยให้เข้าใจสูตรได้ดียิ่งขึ้น
การอัปเดตเป็นประจำ: ก้าวนำแนวคิดและสูตรทางคณิตศาสตร์ล่าสุด แอปนี้ได้รับการอัปเดตเป็นประจำเพื่อรวมเนื้อหาใหม่และปรับปรุงเนื้อหาที่มีอยู่
ไม่ว่าคุณกำลังเตรียมตัวสอบ ทำโครงงานที่เกี่ยวข้องกับคณิตศาสตร์ หรือเพียงแค่ฝึกฝนทักษะของคุณ All Math Formulas ก็เป็นเพื่อนที่สมบูรณ์แบบ ดาวน์โหลดแอปวันนี้และเริ่มต้นการเดินทางที่ราบรื่นผ่านโลกแห่งคณิตศาสตร์!
ในแอพนี้คุณจะได้รับสูตรและสมการทางคณิตศาสตร์รวมถึง:
สูตรพีชคณิตและสมการ
สูตรเรขาคณิตและสมการ
สูตรตรีโกณมิติและสมการ
ในส่วนแคลคูลัสของแอพนี้ คุณจะได้รับสูตรของ:
ขีดจำกัด
อนุพันธ์
ปริพันธ์
ในคุณสมบัติพื้นฐานและข้อเท็จจริงของแอพนี้ คุณจะได้รับสูตรของ:
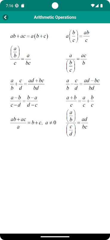
การดำเนินการทางคณิตศาสตร์
คุณสมบัติเลขชี้กำลัง
คุณสมบัติของอนุมูล
คุณสมบัติของอสมการ
คุณสมบัติของมูลค่าสัมบูรณ์
สูตรระยะทาง
จำนวนเชิงซ้อน
ลอการิทึมและคุณสมบัติบันทึก
การแยกตัวประกอบและการแก้
สูตรการแยกตัวประกอบ
สูตรกำลังสอง
คุณสมบัติรากที่สอง
สมการ/อสมการของค่าสัมบูรณ์
เสร็จสิ้นสแควร์
ฟังก์ชันและกราฟ
ฟังก์ชั่นคงที่
ฟังก์ชันเส้น/เชิงเส้น
ฟังก์ชันพาราโบลา/กำลังสอง
วงกลม
วงรี
ไฮเปอร์โบลา
ในส่วนสูตรเรขาคณิตของแอพนี้ คุณจะได้รับสูตรของ:
สี่เหลี่ยม
สี่เหลี่ยมผืนผ้า
วงกลม
สามเหลี่ยม
สี่เหลี่ยมด้านขนาน
สี่เหลี่ยมคางหมู
คิวบ์
กระบอก
ทรงกลม
กรวย
ทั้งหมดในอย่างเดียว
สัญลักษณ์ทางเรขาคณิต
ฟังก์ชันตรีโกณมิติ
มุมพิเศษ
ค่าฟังก์ชันตรีโกณมิติใน Quadrants II, III และ IV
วงกลมหน่วย
สูตรการบวกมุม
สูตรมุมคู่
สูตรครึ่งมุม
สูตรลดกำลัง
สูตรผลิตภัณฑ์ต่อผลรวม
สูตรโคฟังก์ชันส์
กฎของไซน์
กฎของโคไซน์
กฎแทนเจนต์
ข้อมูลประจำตัวของพีทาโกรัส (สำหรับมุมใดๆ θ)
สูตรของมอลเวด
คำจำกัดความของขีดจำกัด
ความสัมพันธ์ระหว่างขีดจำกัดและขีดจำกัดด้านเดียว
จำกัดคุณสมบัติสูตร
สูตรการประเมินขีดจำกัดพื้นฐาน
สูตรเทคนิคการประเมินผล
ฟังก์ชั่นต่อเนื่องบางอย่าง
ทฤษฎีบทค่ากลาง
คำจำกัดความและสัญลักษณ์อนุพันธ์
การตีความอนุพันธ์
คุณสมบัติพื้นฐานและสูตร
อนุพันธ์ทั่วไป
ตัวแปรกฎลูกโซ่
อนุพันธ์ลำดับสูง
ความแตกต่างโดยนัย
การเพิ่มขึ้น/ลดลง – เว้าขึ้น/เว้าลง
เอ็กซ์ตรีม
ทฤษฎีบทค่าเฉลี่ย
วิธีของนิวตัน
อัตราที่เกี่ยวข้อง
การเพิ่มประสิทธิภาพ
คำจำกัดความอินทิกรัล
ทฤษฎีบทพื้นฐานของแคลคูลัส
คุณสมบัติ
อินทิกรัลทั่วไป
เทคนิคบูรณาการมาตรฐาน
อินทิกรัลที่ไม่เหมาะสม
การประมาณอินทิกรัลจำกัดเขต
What's new in the latest 2.4
ข้อมูล All Math Formulas APK
All Math Formulas รุ่นเก่า
All Math Formulas 2.4
All Math Formulas 2.3
All Math Formulas 2.2
All Math Formulas 2.1
การดาวน์โหลดที่รวดเร็วและปลอดภัยเป็นพิเศษผ่านแอป APKPure
คลิกเพียงครั้งเดียวเพื่อติดตั้งไฟล์ XAPK/APK บน Android!







