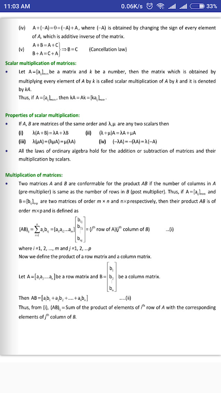
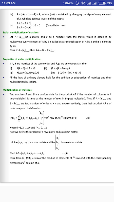
JEE-Maths-Matrices-Formula-Ebo
jevininfotech
Feb 6, 2019
7.6 MB
ফাইলের আকার
Everyone
Android 5.0+
Android OS
JEE-Maths-Matrices-Formula-Ebo সম্পর্কে
ম্যাট্রিক্স এ FORMULA বই, AIEEE, Jee আইআইটি, গণিতশাস্ত্র এ FORMULA বই
আইআইটি-Jee & অন্যান্য প্রতিযোগী পরীক্ষার জন্য ম্যাট্রিক্স ইন্টারেক্টিভ ই-বই।
বোর্ড: সিবিএসই, GSEB, ICSE বা, আইএসসি, আন্তর্জাতিক বোর্ড, কেমব্রিজ
ক্লাস: 11 তম - 12th ছাত্ররা, প্রকৌশল ছাত্র এবং শিক্ষক শিক্ষার্থীদের।
গণিতশাস্ত্র (AIEEE, আইআইটি-Jee প্রধান) ম্যাট্রিক্স ইন্টারেক্টিভ ই-বুক শিক্ষা আবেদন
বিষয়:
1. ম্যাট্রিক্স
2. একটি ম্যাট্রিক্স এর ট্রেস
3. ম্যাট্রিক্সের বিশেষ ধরনের
4. ম্যাট্রিক্স এর মান
5. নজরে এ নির্দেশ
What's new in the latest 1.0
Last updated on Feb 6, 2019
Minor bug fixes and improvements. Install or update to the newest version to check it out!
JEE-Maths-Matrices-Formula-Ebo APK Information
সর্বশেষ সংস্করণ
1.0
বিভাগ
শিক্ষাAndroid OS
Android 5.0+
ফাইলের আকার
7.6 MB
ডেভেলপার
jevininfotechসামগ্রীর রেটিং
Everyone
এপিকিপিউর এ নিরাপদ এবং দ্রুত APK ডাউনলোড
APKPure বিরুদ্ধ সংকেতচিহ্ন যাচাইকরণ ব্যবহার করে আপনাকে ভাইরাস মুক্ত JEE-Maths-Matrices-Formula-Ebo APK ডাউনলোড উপলব্ধ করানোর জন্য।
JEE-Maths-Matrices-Formula-Ebo এর পুরানো সংস্করণ
JEE-Maths-Matrices-Formula-Ebo 1.0
7.6 MBFeb 6, 2019
APKPure অ্যাপের মাধ্যমে অতি দ্রুত এবং নিরাপদ ডাউনলোড করা হচ্ছে
Android-এ XAPK/APK ফাইল ইনস্টল করতে এক-ক্লিক করুন!







