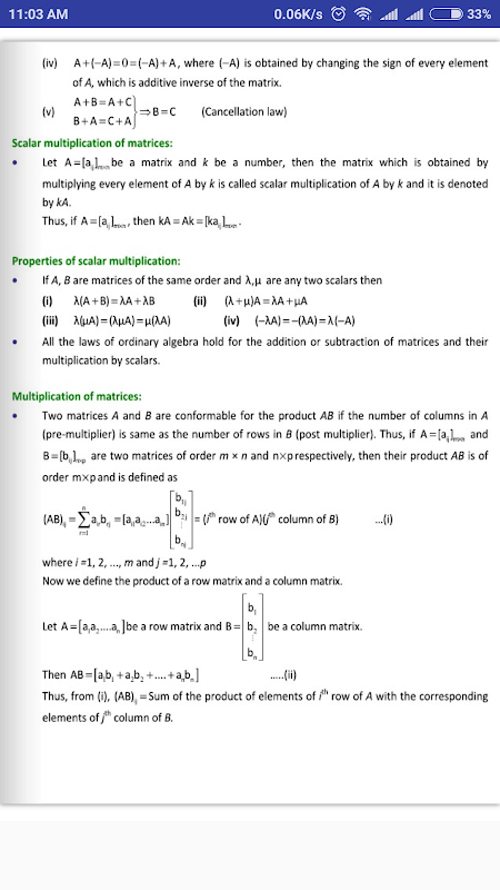
About JEE-Maths-Matrices-Formula-Ebo
فارمٹری کتاب ، اے آئی ای ای ، جے ای ای ، آئی آئی ٹی ، میٹھیس فارمولا کتاب
IIT-JEE اور دیگر مسابقتی امتحانات کے لئے میٹرکس انٹرایکٹو ای بک۔
بورڈ: سی بی ایس ای ، جی ایس ای بی ، آئی سی ایس ای ، آئی ایس سی ، انٹرنیشنل بورڈ ، کیمبرج
کلاس: 11 ویں - 12 ویں طلباء ، انجینئرنگ کے طلباء اور میڈیکل طلباء۔
ریاضی (AIEEE ، IIT-JEE مین) میٹرک انٹرایکٹو ای بک ایجوکیشن کی درخواست
موضوع:
1. میٹرکس
2. میٹرکس کا ٹریس
3. میٹرک کی خصوصی قسمیں
4. میٹرکس کا درجہ
5. نظر کی طرف اشارہ کریں
What's new in the latest 1.0
Last updated on Feb 6, 2019
Minor bug fixes and improvements. Install or update to the newest version to check it out!
JEE-Maths-Matrices-Formula-Ebo APK معلومات
Latest Version
1.0
کٹیگری
تعلیمیAndroid OS
Android 5.0+
فائل سائز
7.6 MB
ڈویلپر
jevininfotechمواد کی درجہ بندی
Everyone
APKPure پر محفوظ اور تیز APK ڈاؤن لوڈ کریں
APKPure آپ کے لئے وائرس سے پاک JEE-Maths-Matrices-Formula-Ebo APK ڈاؤن لوڈ میسر کرنے کے لئے سائنیچر تصدیق استعمال کرتا ہے۔
کے پرانے ورژن JEE-Maths-Matrices-Formula-Ebo
JEE-Maths-Matrices-Formula-Ebo 1.0
7.6 MBFeb 6, 2019
APKPure ایپکےذریعےانتہائی تیزاورمحفوظڈاؤنلوڈنگ
Android پر XAPK/APK فائلیںانسٹالکرنےکےلیےایککلککریں!







