JEE-Maths-Matrices-Formula-Ebo

JEE-Maths-Matrices-Formula-Ebo

jevininfotech
2019年02月06日
  • 7.6 MB

    文件大小

  • Everyone

  • Android 5.0+

    Android OS

關於JEE-Maths-Matrices-Formula-Ebo

矩陣公式BOOK,AIEEE,JEE,個人所得稅,數學公式BOOK

矩陣互動電子書的IIT-JEE與其他競賽考試。

董事會:CBSE,GSEB,ICSE,ISC,國際板,劍橋

等級:11日 - 12日生,工科學生和醫學生。

數學(AIEEE,IIT-JEE主)矩陣互動電子書教育應用

話題:

1.矩陣

2.一個矩陣的跡

3.矩陣的特殊類型

4.秩矩陣的

5.點的一覽

更多

最新版本1.0的更新日誌

Last updated on 2019年02月06日
Minor bug fixes and improvements. Install or update to the newest version to check it out!
更多

視頻和屏幕截圖

  • JEE-Maths-Matrices-Formula-Ebo 海報
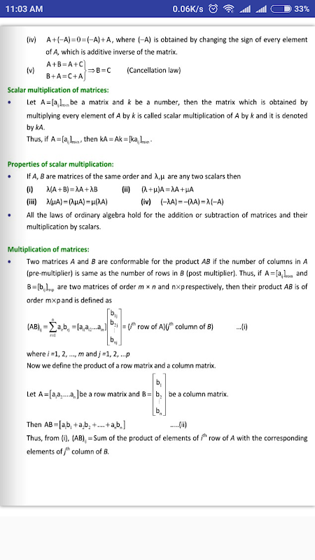
  • JEE-Maths-Matrices-Formula-Ebo 截圖 1
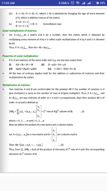
  • JEE-Maths-Matrices-Formula-Ebo 截圖 2
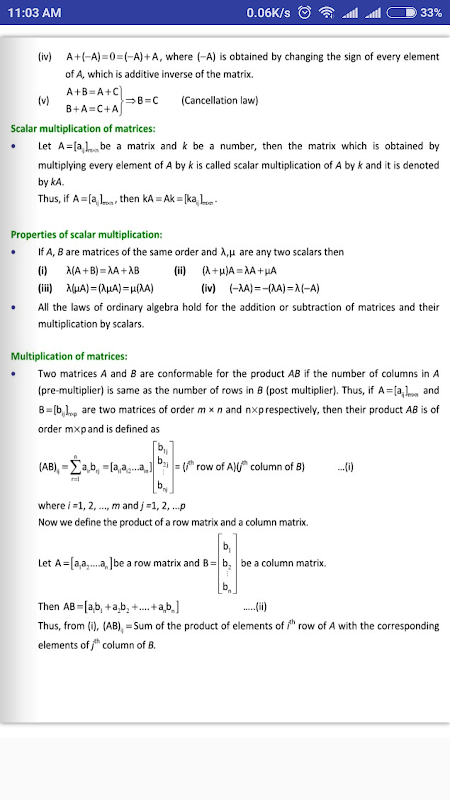
  • JEE-Maths-Matrices-Formula-Ebo 截圖 3
  • JEE-Maths-Matrices-Formula-Ebo 截圖 4
  • JEE-Maths-Matrices-Formula-Ebo 截圖 5
  • JEE-Maths-Matrices-Formula-Ebo 截圖 6
  • JEE-Maths-Matrices-Formula-Ebo 截圖 7

JEE-Maths-Matrices-Formula-Ebo APK信息

最新版本
1.0
類別
教育
Android OS
Android 5.0+
文件大小
7.6 MB
開發者
jevininfotech
內容分級
Everyone
在APKPure安全快速地下載APK
APKPure 使用簽章驗證功能,確保為您提供無病毒的 JEE-Maths-Matrices-Formula-Ebo APK 下載。

JEE-Maths-Matrices-Formula-Ebo歷史版本

APKPure 圖標

在APKPure極速安全下載應用程式

一鍵安裝安卓XAPK/APK文件!

下載 APKPure
thank icon
We use cookies and other technologies on this website to enhance your user experience.
By clicking any link on this page you are giving your consent to our Privacy Policy and Cookies Policy.
Learn More about Policies