Calculus Formulas
12.9 MB
Bestandsgrootte
- Beveiliging
Everyone
Android 7.0+
Android OS
Over Calculus Formulas
Nuttig Limieten, afgeleiden, integralen formules van Calculus.
Calculus is betrokken bij de studie van ‘continue verandering’ en hun toepassing op het oplossen van vergelijkingen. Het heeft twee hoofdtakken:
1: Differentiaalberekening die betrekking heeft op veranderingssnelheden en hellingen van bochten.
2: Integrale berekening met betrekking tot accumulatie van hoeveelheden en de gebieden onder en tussen curven.
Zowel Differential Calculus als Integral Calculus maken gebruik van de fundamentele noties van convergentie van oneindige reeksen en oneindige reeksen tot een goed gedefinieerde limiet. Deze twee takken zijn aan elkaar gerelateerd door de fundamentele stelling van calculus
De differentiaalberekening splitst een gebied op in kleine delen om de mate van verandering te berekenen. Terwijl de Integrale calculus kleine delen samenvoegt om het gebied of volume te berekenen. Kortom, het is de redeneer- of berekeningsmethode.
In deze app ziet u een lijst met Calculus-formules zoals een integrale formule, afgeleide formule, limietenformule enz.
Limietenformules bevatten:
Beperkingen Definities.
Verband tussen de limiet en eenzijdige limieten.
Beperkt eigenschappenformules.
Formules voor basislimietevaluaties.
Formules voor evaluatietechnieken.
Enkele doorlopende functies.
Gemiddelde waarde stelling.
Los elke rekenlimiet op.
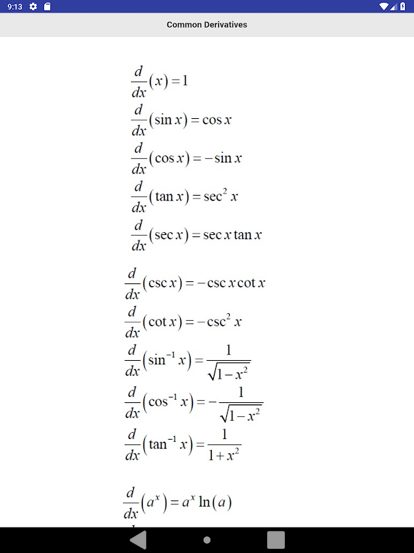
Formules voor derivaten bevatten:
Definitie en notatie van derivaten.
Interpretatie van het derivaat.
Basiseigenschappen en formules.
Gemeenschappelijke derivaten.
Kettingregelvarianten.
Derivaten van hogere orde.
Impliciete differentiatie.
Toenemend / afnemend - concaaf omhoog / concaaf omlaag.
Extrema.
Gemiddelde waarde stelling.
Newtons methode.
Gerelateerde tarieven.
Optimalisatie
Integrale formules bevatten:
Integralen Definities.
Fundamentele stelling van Calculus.
Eigenschappen.
Gemeenschappelijke integralen.
Standaard integratietechnieken.
Onjuist integraal.
Definitieve integralen benaderen.
Zeer handige app voor studenten wiskunde.
What's new in the latest 1.7
Calculus Formulas APK -informatie
Oude versies van Calculus Formulas
Supersnel en veilig downloaden via de APKPure-app
Eén klik om XAPK/APK-bestanden op Android te installeren!







