Oписание Calculus Formulas
Полезные пределы, производные, интегралы формулы исчисления.
Исчисление включает в себя изучение «непрерывных изменений» и их применение для решения уравнений. Он имеет две основные ветви:
1: Дифференциальное исчисление , касающееся скоростей изменения и наклонов кривых.
2: Интегральное исчисление относительно накопления количеств и площадей под и между кривыми.
И Дифференциальное исчисление, и Интегральное исчисление используют фундаментальные понятия сходимости бесконечных последовательностей и бесконечных рядов к четко определенному пределу. Эти две ветви связаны друг с другом фундаментальной теоремой исчисления
Дифференциальное исчисление разбивает область на маленькие части, чтобы вычислить скорость изменения. В то время как интегральное исчисление объединяет мелкие детали для вычисления площади или объема. Короче говоря, это метод рассуждения или расчета.
В этом приложении вы можете увидеть список формул исчисления, таких как интегральная формула, производная формула, формула пределов и т. Д.
Формулы ограничений содержат:
Определения пределов.
Связь между лимитом и односторонним лимитом.
Пределы свойств Формулы.
Основные формулы оценки пределов.
Формулы методов оценки.
Некоторые непрерывные функции.
Теорема о промежуточном значении.
Решить любой предел исчисления.
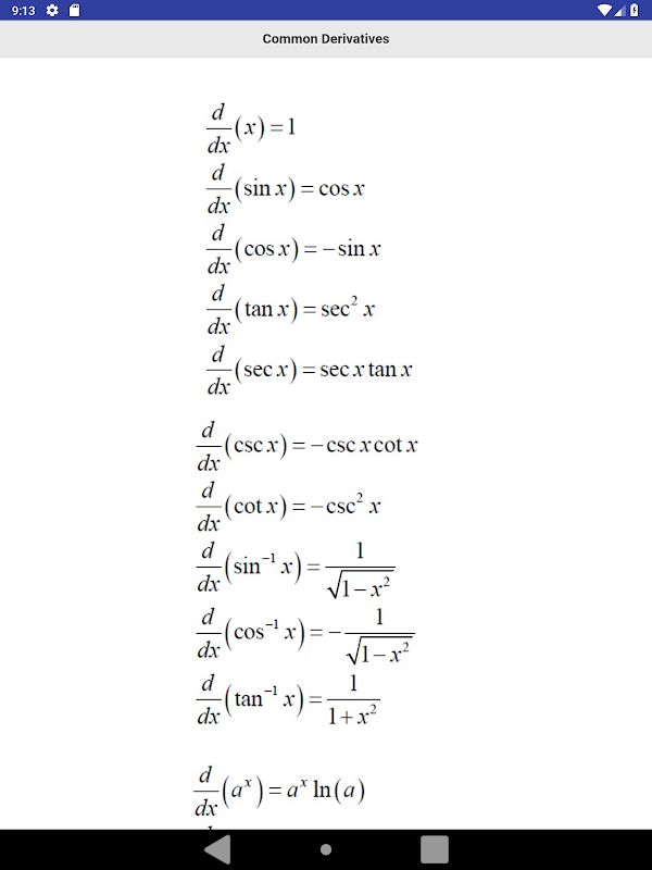
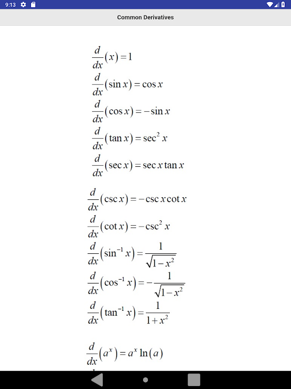
Производные формулы содержат:
Определение и обозначение производных.
Интерпретация производного.
Основные свойства и формулы.
Общие производные.
Варианты цепных правил.
Производные высшего порядка.
Неявная дифференциация.
Увеличение / уменьшение - вогнутый вверх / вогнутый вниз.
Экстремумов.
Теорема о среднем значении.
Метод Ньютона.
Связанные цены.
Оптимизация
Интегральные формулы содержат:
Определения интегралов.
Основная теорема исчисления.
Свойства.
Общие Интегралы.
Стандартные методы интеграции.
Неправильный интеграл.
Аппроксимация определенных интегралов.
Очень удобное приложение для студентов математики.
Что нового в последней версии 1.7
Информация Calculus Formulas APK
Старые Версии Calculus Formulas
Супер Быстрая и Безопасная Загрузка через Приложение APKPure
Один клик для установки XAPK/APK файлов на Android!







