Calculus Formulas 정보
유용한 제한, 파생 상품, 미적분의 미적분학 수식.
미적분학은 '지속적인 변화'에 대한 연구와 방정식을 푸는데 적용됩니다. 그것은 두 가지 주요 가지가 있습니다 :
1 : 곡선의 변화율 및 기울기와 관련된 미적분학 (Differential Calculus) .
2 : 수량 적산 및 곡선 사이의 영역에 관한 적분학 (Integral Calculus) .
미분 적분과 적분 미적분 모두 잘 정의 된 한계에 대한 무한 수열과 무한 수열의 수렴이라는 근본적인 개념을 사용합니다. 이 두 가지는 미적분의 근본 정리에 의해 서로 관련되어있다.
미적분은 면적을 작은 부분으로 나눠서 변화율을 계산합니다. Integral calculus는 작은 부분을 결합하여 면적이나 부피를 계산합니다. 요컨대, 그것은 추론이나 계산의 방법입니다.
이 응용 프로그램에서 당신은 미적분 공식, 미분 공식, 제한 공식 등의 목록을 볼 수 있습니다
제한 수식은 다음을 포함합니다 :
한계 정의.
한도와 한도 간의 관계.
속성 수식을 제한합니다.
기본 제한 평가 수식.
평가 기법 수식.
일부 연속 기능.
중간 값 정리.
모든 미적분 한계를 풀어 라.
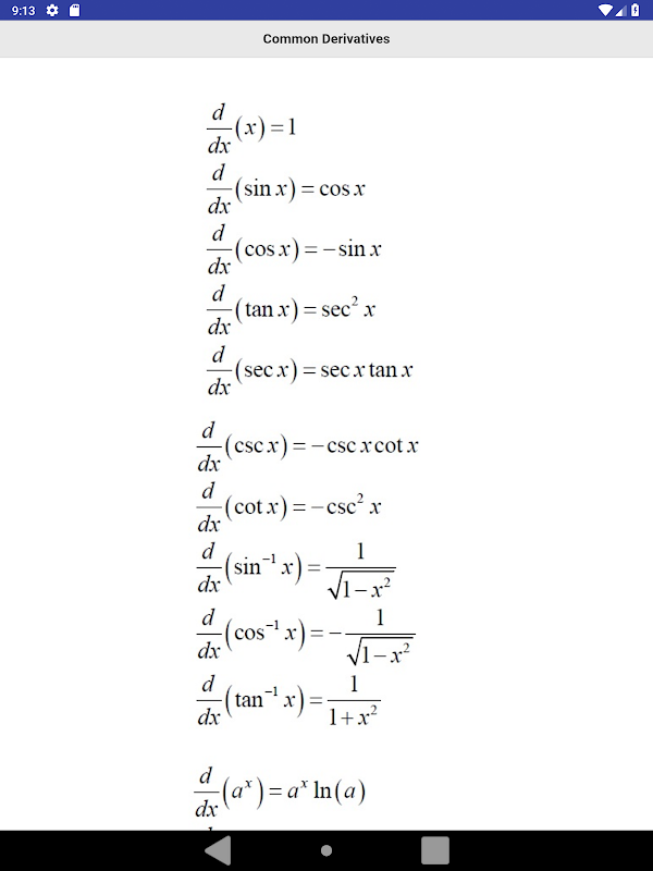
파생물 수식에는 다음이 포함됩니다 :
파생 상품 정의 및 표기법.
파생 상품의 해석.
기본 속성 및 수식.
일반적인 파생 상품.
체인 규칙 변형.
고차원 파생 상품.
암시 적 차별화.
증가 / 감소 - 오목면 / 오목면.
Extrema.
평균값 정리.
뉴턴의 방법.
관련 요금.
최적화.
통합 수식에는 다음이 포함됩니다 :
통합 정의.
미적분의 기본 정리.
속성.
공통 통합.
표준 통합 기법.
부적절한 통합.
완전 통합에 대한 근사법.
수학 학생들을위한 매우 편리한 애플 리케이션.







