เกี่ยวกับ Calculus Formulary
A quick reference to calculus formulas.
Calculus formulary is an app that brings a quick reference to formulas of derivatives, integrals and other basic topics to your smartphone.
Contents include:
- Properties of exponents and logarithms.
- Trigonometric functions.
- Identities of trigonometric functions.
- Hyperbolic trigonometric functions.
- Identities of hyperbolic trigonometric functions.
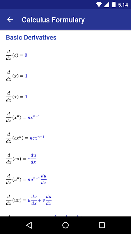
- Basic derivatives
- Derivatives of trigonometric functions.
- Derivatives of inverse trigonometric functions.
- Derivatives of hyperbolic trigonometric functions.
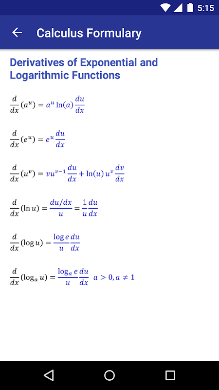
- Derivatives of exponential and logarithmic functions.
- Basic integrals
- Integrals of trigonometric functions.
- Integrals of inverse trigonometric functions.
- Integrals of hyperbolic trigonometric functions.
- Integrals of exponential and logarithmic functions.
- Miscellaneous integrals.
What's new in the latest 2.1
ข้อมูล Calculus Formulary APK
Calculus Formulary รุ่นเก่า
Calculus Formulary 2.1
Calculus Formulary 2.0
Calculus Formulary 1.1
การดาวน์โหลดที่รวดเร็วและปลอดภัยเป็นพิเศษผ่านแอป APKPure
คลิกเพียงครั้งเดียวเพื่อติดตั้งไฟล์ XAPK/APK บน Android!







