Über Calculus Formulary
Ein kurzer Hinweis auf Kalkül Formeln.
Calculus formulary is an app that brings a quick reference to formulas of derivatives, integrals and other basic topics to your smartphone.
Contents include:
- Properties of exponents and logarithms.
- Trigonometric functions.
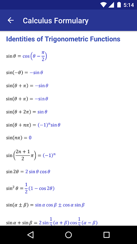
- Identities of trigonometric functions.
- Hyperbolic trigonometric functions.
- Identities of hyperbolic trigonometric functions.
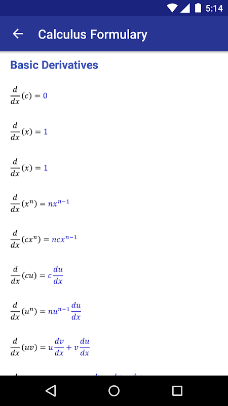
- Basic derivatives
- Derivatives of trigonometric functions.
- Derivatives of inverse trigonometric functions.
- Derivatives of hyperbolic trigonometric functions.
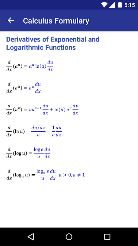
- Derivatives of exponential and logarithmic functions.
- Basic integrals
- Integrals of trigonometric functions.
- Integrals of inverse trigonometric functions.
- Integrals of hyperbolic trigonometric functions.
- Integrals of exponential and logarithmic functions.
- Miscellaneous integrals.
What's new in the latest 2.1
Calculus Formulary APK -Informationen
Alte Versionen von Calculus Formulary
Calculus Formulary 2.1
Calculus Formulary 2.0
Calculus Formulary 1.1
Superschnelles und sicheres Herunterladen über die APKPure-App
Ein Klick zur Installation von XAPK/APK-Dateien auf Android!







