About Calculus Formulary
A quick reference to calculus formulas.
Calculus formulary is an app that brings a quick reference to formulas of derivatives, integrals and other basic topics to your smartphone.
Contents include:
- Properties of exponents and logarithms.
- Trigonometric functions.
- Identities of trigonometric functions.
- Hyperbolic trigonometric functions.
- Identities of hyperbolic trigonometric functions.
- Basic derivatives
- Derivatives of trigonometric functions.
- Derivatives of inverse trigonometric functions.
- Derivatives of hyperbolic trigonometric functions.
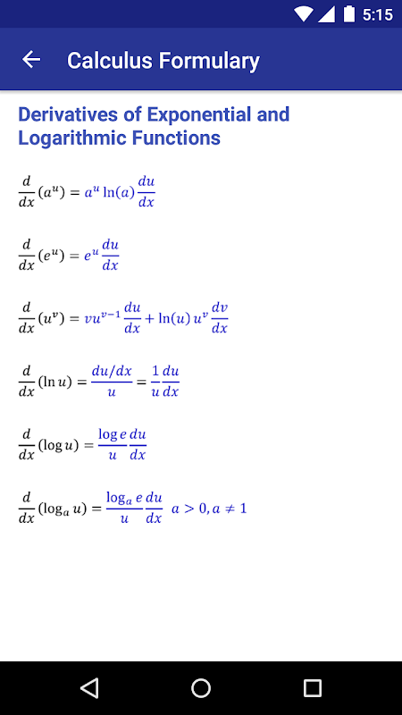
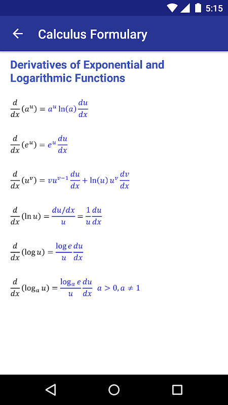
- Derivatives of exponential and logarithmic functions.
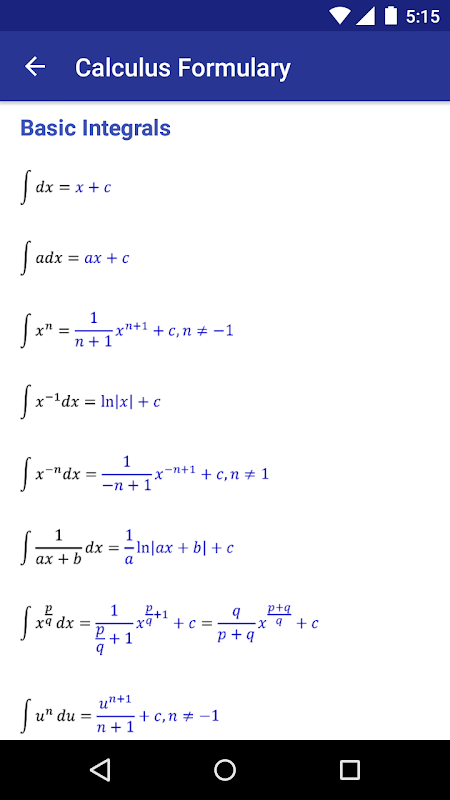
- Basic integrals
- Integrals of trigonometric functions.
- Integrals of inverse trigonometric functions.
- Integrals of hyperbolic trigonometric functions.
- Integrals of exponential and logarithmic functions.
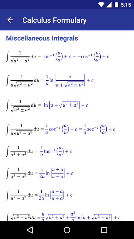
- Miscellaneous integrals.
What's new in the latest 2.1
Calculus Formulary APK Information
Old Versions of Calculus Formulary
Calculus Formulary 2.1
Calculus Formulary 2.0
Calculus Formulary 1.1
Super Fast and Safe Downloading via APKPure App
One-click to install XAPK/APK files on Android!







