About Алгебра. Геометрия. Тригономет
Basic formulas for the course of algebra, geometry and trigonometry. Crib
Collection of formulas in mathematics (pocket guide). The reference book contains all the necessary formulas of the school course in mathematics.
Content:
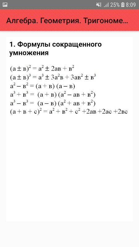
- Abbreviated Multiplication Formulas
- degrees
- roots
- Arithmetic progression
- Geometric progression
- vectors
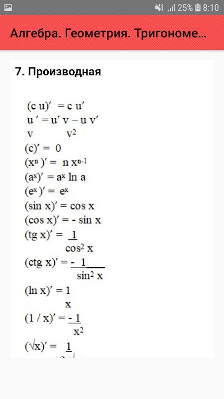
- Derivative
- Logarithms
- Basic trigonometric identities
- Addition and Subtraction Formulas
- The relationship between trigonometric functions
- Product conversion formulas
- Double angle formulas
- Special cases of the solution of trigonometric equations
- Cast Formulas
- Right triangle
- Square shapes
- Volumes of bodies
- surface areas
- Angles
What's new in the latest 1.0
Last updated on Nov 7, 2020
Minor bug fixes and improvements. Install or update to the newest version to check it out!
Алгебра. Геометрия. Тригономет APK Information
Safe & Fast APK Downloads on APKPure
APKPure uses signature verification to ensure virus-free Алгебра. Геометрия. Тригономет APK downloads for you.
Old Versions of Алгебра. Геометрия. Тригономет
Алгебра. Геометрия. Тригономет 1.0
3.3 MBNov 7, 2020

Super Fast and Safe Downloading via APKPure App
One-click to install XAPK/APK files on Android!