Sobre este កំណែគណិតវិទ្យាថ្នាក់ទី៩
Novo Teste de Matemática da 9ª Série, Livro de Exercícios e Exame para Diploma
Este novo questionário de matemática e livreto de perguntas da 9ª série, elaboramos com o propósito de ajudar seus alunos para que neste livro haja um breve texto de aula sobre pontos-chave e exemplos, bem como respostas a perguntas e respostas. novo livro didático de matemática da nona série do Ministério da Educação, Juventude e Esportes.
- Adicionar disciplinas para exames de diploma de 1981 a 2012
Novidades em 1.0 mais recente
Last updated on 2019-08-26
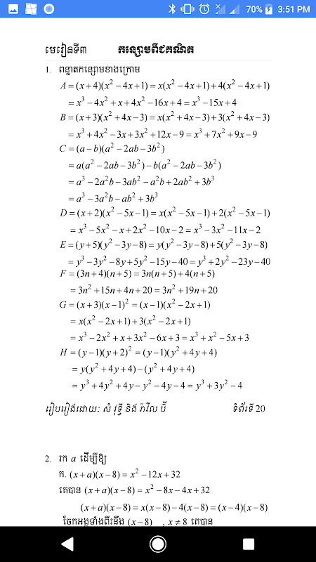
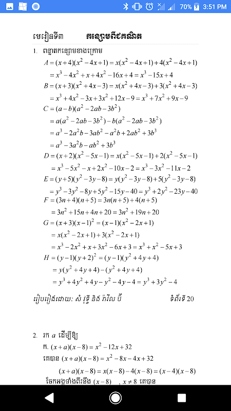
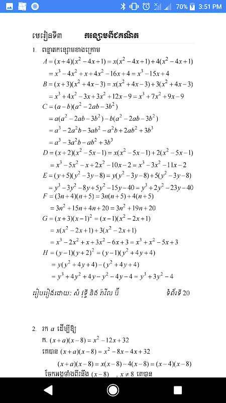
កំណែសំណួរនិងលំហាត់គណិតវិទ្យាថ្មីថ្នាក់ទី៩នេះយើងខ្ញុំបានរៀបចំឡើងក្នុងគោលបំនងជួយដល់ការសិក្សារបស់ប្អូនៗដើម្បីបក្នុងសៀវភៅនេះមានអត្ថបទមេរៀនសង្ខេបលើចំនុចសំខាន់ៗនិងឧទាហរណ៍ព្រមទាំងចម្លើយសំណួរនិងលំហាត់ដែលដកស្រង់ចេញពីសៀវភៅគណិតវិទ្យាថ្នាក់ទី៩ថ្មីរបស់ក្រសួងអប់រំយុវជននិងកីឡា។
Informações sobre កំណែគណិតវិទ្យាថ្នាក់ទី៩ APK
Downloads seguros e rápidos de APK no APKPure
O APKPure usa verificação de assinatura para garantir downloads de APK កំណែគណិតវិទ្យាថ្នាក់ទី៩ sem vírus para você.
Versões Antigas de កំណែគណិតវិទ្យាថ្នាក់ទី៩
កំណែគណិតវិទ្យាថ្នាក់ទី៩ 1.0
31.3 MBAug 26, 2019
Baixar de Forma Rápida e Segura via APKPure App
Um clique para instalar arquivos XAPK/APK no Android!






