Tentang កំណែគណិតវិទ្យាថ្នាក់ទី៩
Kuis Matematika Kelas 9 Baru dan Buku Latihan dan Ujian Diploma
Kuis matematika kelas 9 dan buklet soal baru ini, kami rancang dengan tujuan untuk membantu siswa Anda sehingga dalam buku ini akan ada teks pelajaran singkat tentang poin-poin kunci dan contoh, serta jawaban atas pertanyaan dan jawaban. buku teks matematika kelas sembilan baru dari Kementerian Pendidikan, Pemuda dan Olahraga.
- Tambahkan mata pelajaran ujian diploma dari 1981 hingga 2012
What's new in the latest 1.0
Last updated on 2019-08-26
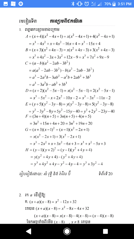
កំណែសំណួរនិងលំហាត់គណិតវិទ្យាថ្មីថ្នាក់ទី៩នេះយើងខ្ញុំបានរៀបចំឡើងក្នុងគោលបំនងជួយដល់ការសិក្សារបស់ប្អូនៗដើម្បីបក្នុងសៀវភៅនេះមានអត្ថបទមេរៀនសង្ខេបលើចំនុចសំខាន់ៗនិងឧទាហរណ៍ព្រមទាំងចម្លើយសំណួរនិងលំហាត់ដែលដកស្រង់ចេញពីសៀវភៅគណិតវិទ្យាថ្នាក់ទី៩ថ្មីរបស់ក្រសួងអប់រំយុវជននិងកីឡា។
Informasi APK កំណែគណិតវិទ្យាថ្នាក់ទី៩
Versi terbaru
1.0
Kategori
PendidikanAndroid OS
Android 4.4+
Ukuran file
31.3 MB
Pengembang
vPhysicsRating konten
Everyone
Unduh APK dengan Aman dan Cepat di APKPure
APKPure menggunakan verifikasi tanda tangan untuk memastikan unduhan APK កំណែគណិតវិទ្យាថ្នាក់ទី៩ yang bebas dari virus untuk Anda.
Versi lama កំណែគណិតវិទ្យាថ្នាក់ទី៩
កំណែគណិតវិទ្យាថ្នាក់ទី៩ 1.0
31.3 MBAug 26, 2019
Pengunduhan Super cepat dan aman melalui aplikasi APKPure
Sekali klik untuk menginstal file XAPK/APK di Android!







