Giới thiệu về កំណែគណិតវិទ្យាថ្នាក់ទី៩
Sách Bài tập và Trắc nghiệm Toán lớp 9 Mới và Đề thi Tốt nghiệp
Tập sách câu hỏi và câu hỏi trắc nghiệm toán lớp 9 mới này, chúng tôi biên soạn nhằm mục đích hỗ trợ các bạn học sinh nên trong cuốn sách này sẽ có nội dung bài học ngắn gọn về các điểm chính và ví dụ, cũng như câu trả lời cho các câu hỏi và câu trả lời. Bài tập từ sách giáo khoa toán lớp 9 mới của Bộ Giáo dục, Thanh niên và Thể thao.
- Bổ sung các môn thi cấp bằng từ năm 1981 đến năm 2012
What's new in the latest 1.0
Last updated on 2019-08-26
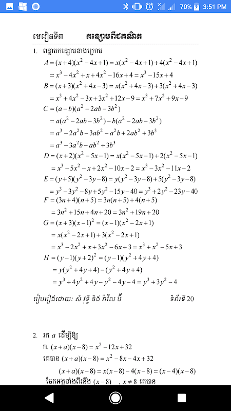
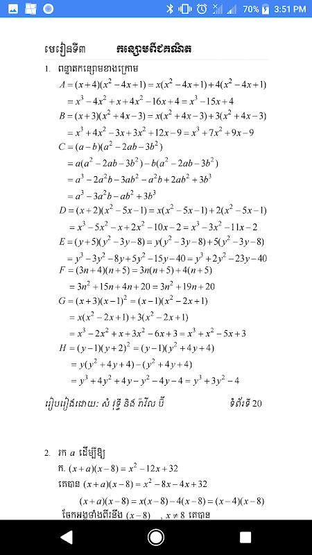
កំណែសំណួរនិងលំហាត់គណិតវិទ្យាថ្មីថ្នាក់ទី៩នេះយើងខ្ញុំបានរៀបចំឡើងក្នុងគោលបំនងជួយដល់ការសិក្សារបស់ប្អូនៗដើម្បីបក្នុងសៀវភៅនេះមានអត្ថបទមេរៀនសង្ខេបលើចំនុចសំខាន់ៗនិងឧទាហរណ៍ព្រមទាំងចម្លើយសំណួរនិងលំហាត់ដែលដកស្រង់ចេញពីសៀវភៅគណិតវិទ្យាថ្នាក់ទី៩ថ្មីរបស់ក្រសួងអប់រំយុវជននិងកីឡា។
Thông tin APK កំណែគណិតវិទ្យាថ្នាក់ទី៩
Tải APK an toàn và nhanh chóng trên APKPure
APKPure sử dụng xác minh chữ ký để đảm bảo tải APK miễn phí virus cho កំណែគណិតវិទ្យាថ្នាក់ទី៩.
Phiên bản cũ của កំណែគណិតវិទ្យាថ្នាក់ទី៩
កំណែគណិតវិទ្យាថ្នាក់ទី៩ 1.0
31.3 MBAug 26, 2019
Tải xuống siêu nhanh và an toàn thông qua Ứng dụng APKPure
Một cú nhấp chuột để cài đặt các tệp XAPK/APK trên Android!






