Over កំណែគណិតវិទ្យាថ្នាក់ទី៩
Nieuwe Grade 9 Math Quiz en werkboek en diploma-examen
Deze nieuwe wiskundequiz en vragenboekje van het 9e leerjaar hebben we ontworpen om uw studenten te helpen, zodat er in dit boek een korte lestekst staat over de belangrijkste punten en voorbeelden, evenals antwoorden op vragen en antwoorden. nieuw wiskundeboek van de negende klas van het ministerie van Onderwijs, Jeugd en Sport.
- Diploma examenvakken toevoegen van 1981 tot 2012
What's new in the latest 1.0
Last updated on 2019-08-26
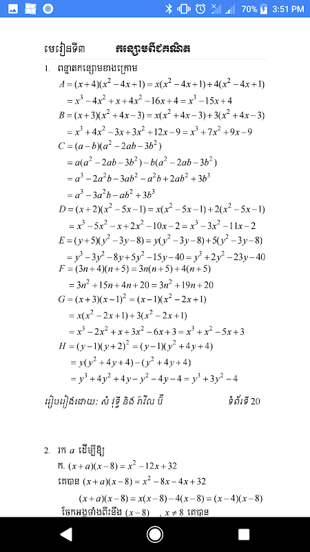
កំណែសំណួរនិងលំហាត់គណិតវិទ្យាថ្មីថ្នាក់ទី៩នេះយើងខ្ញុំបានរៀបចំឡើងក្នុងគោលបំនងជួយដល់ការសិក្សារបស់ប្អូនៗដើម្បីបក្នុងសៀវភៅនេះមានអត្ថបទមេរៀនសង្ខេបលើចំនុចសំខាន់ៗនិងឧទាហរណ៍ព្រមទាំងចម្លើយសំណួរនិងលំហាត់ដែលដកស្រង់ចេញពីសៀវភៅគណិតវិទ្យាថ្នាក់ទី៩ថ្មីរបស់ក្រសួងអប់រំយុវជននិងកីឡា។
កំណែគណិតវិទ្យាថ្នាក់ទី៩ APK -informatie
Veilige en snelle APK Downloads op APKPure
APKPure gebruikt handtekeningverificatie om virusvrije កំណែគណិតវិទ្យាថ្នាក់ទី៩ APK downloads voor u te garanderen.
Oude versies van កំណែគណិតវិទ្យាថ្នាក់ទី៩
កំណែគណិតវិទ្យាថ្នាក់ទី៩ 1.0
31.3 MBAug 26, 2019
Supersnel en veilig downloaden via de APKPure-app
Eén klik om XAPK/APK-bestanden op Android te installeren!






