Sobre este Math Lite
Calculadora e algumas fórmulas/constantes matemáticas comuns
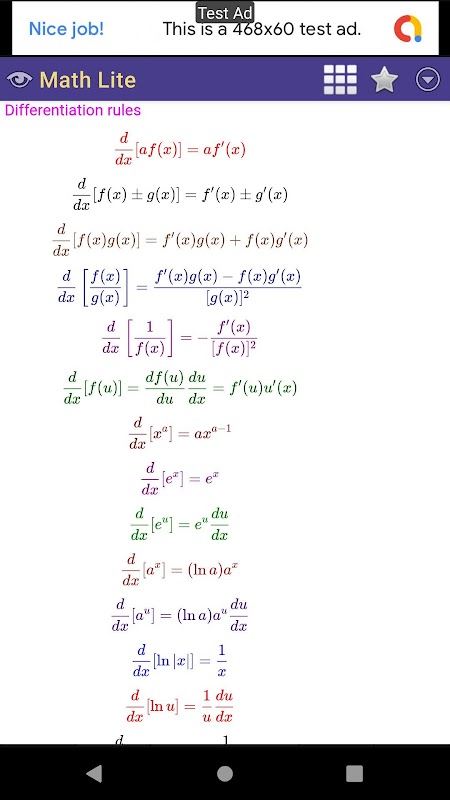
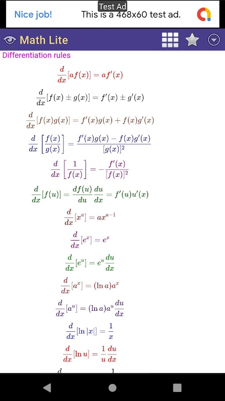
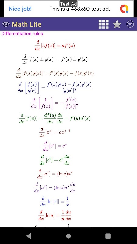
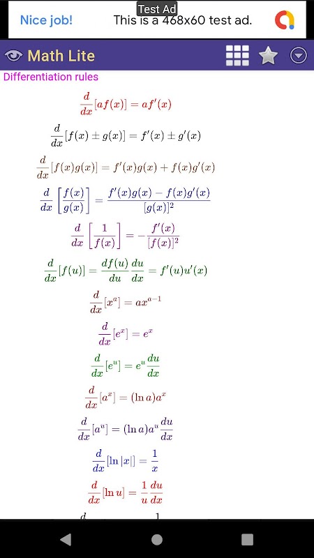
Calculadora científica e uma coleção de fórmulas/constantes matemáticas comumente usadas por estudantes universitários.
Características:
Funções matemáticas comuns
Conversor de unidades para várias medições
Precedência do operador PEJMDAS/BEJDMAS/BOJDMAS:
1. Parênteses/colchetes
2. Expoentes/Ordem
3. Justaposição
4. Multiplicação/Divisão
5. Adição/Subtração
Exemplo:
6÷2(1+2)=1
6÷2×(1+2)=9
Novidades em 2025.10.16 mais recente
Last updated on Jan 23, 2026
Minor bug fixes and improvements. Install or update to the newest version to check it out!
Informações sobre Math Lite APK
Downloads seguros e rápidos de APK no APKPure
O APKPure usa verificação de assinatura para garantir downloads de APK Math Lite sem vírus para você.
Versões Antigas de Math Lite
Math Lite 2025.10.16
7.8 MBJan 6, 2026
Math Lite 2025.9.11
8.9 MBSep 20, 2025
Math Lite 2025.7.28
8.7 MBAug 1, 2025
Math Lite 2024.6.14
10.6 MBJun 14, 2024
Baixar de Forma Rápida e Segura via APKPure App
Um clique para instalar arquivos XAPK/APK no Android!







