دربارهی Math Lite
ماشین حساب و چند فرمول/ثابت ریاضی رایج
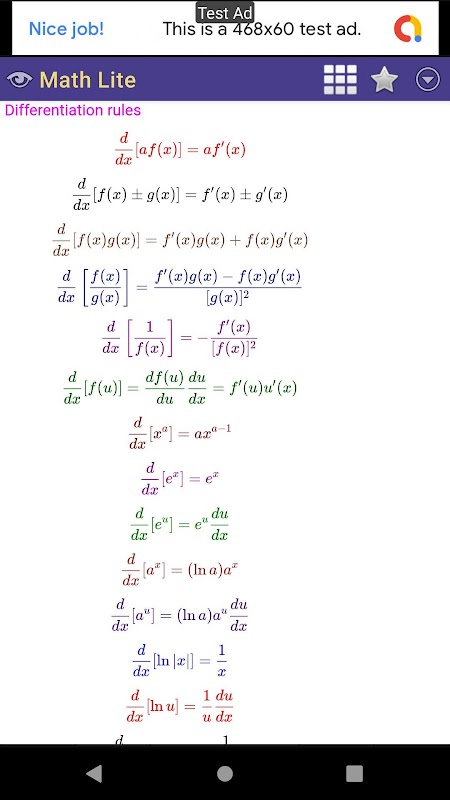
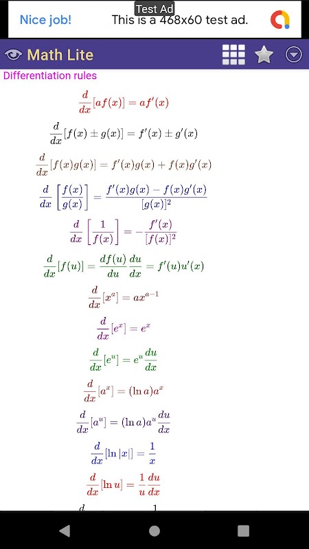
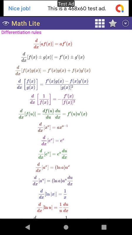
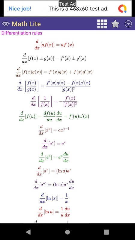
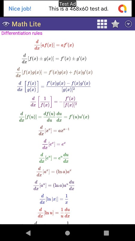
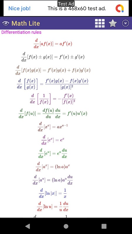
ماشین حساب علمی و مجموعه ای از فرمول ها/ثابت های ریاضی که معمولاً توسط دانشجویان استفاده می شود.
امکانات:
توابع ریاضی رایج
مبدل واحد برای اندازه گیری های مختلف
اولویت عملگر PEJMDAS/BEJDMAS/BOJDMAS:
1. پرانتز / پرانتز
2. شارح / ترتیب
3. کنار هم قرار گرفتن
4. ضرب / تقسیم
5. جمع / تفریق
مثال:
6÷2(1+2)=1
6÷2×(1+2)=9
جدیدترین 2025.10.16 چه خبر است
Last updated on 23/01/2026
Minor bug fixes and improvements. Install or update to the newest version to check it out!
اطلاعات Math Lite APK
ایمن و سریع APK دانلود در APKPure
APKPure از تأیید امضای نرمافزار برای اطمینان از دانلودهای بدون ویروس APK Math Lite استفاده میکند.
نسخههای قدیمی Math Lite
Math Lite 2025.10.16
7.8 MB06/01/2026
Math Lite 2025.9.11
8.9 MB20/09/2025
Math Lite 2025.7.28
8.7 MB01/08/2025
Math Lite 2024.6.14
10.6 MB14/06/2024
دانلود فوق سریع و ایمن از طریق برنامه APKPure
برای نصب فایل های XAPK/APK در اندروید با یک کلیک!







