Over Math Lite
Rekenmachine en enkele algemene wiskundige formules/constanten
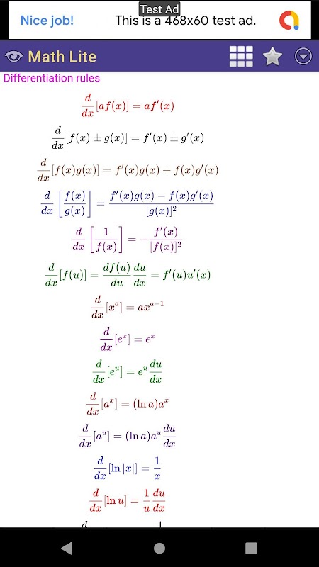
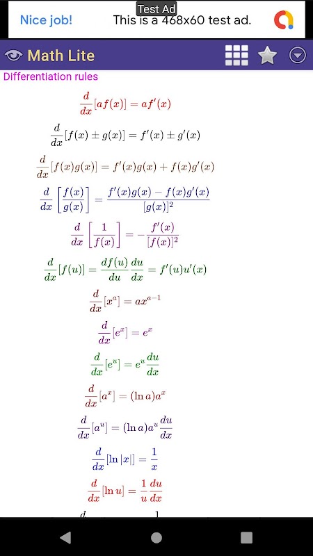
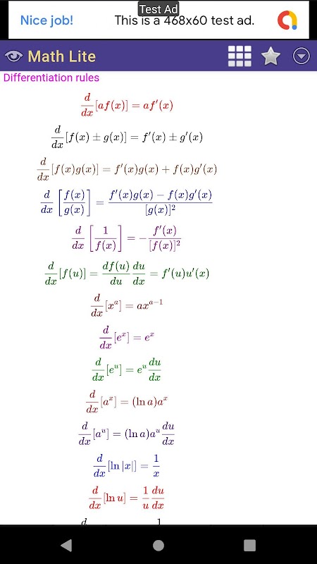
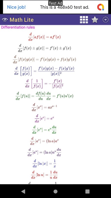
Wetenschappelijke rekenmachine en een verzameling wiskundige formules/constanten die veel worden gebruikt door studenten.
Functies:
Algemene wiskundige functies
Eenheidsconverter voor verschillende metingen
PEJMDAS/BEJDMAS/BOJDMAS operatorvoorrang:
1. Haakjes/haakjes
2. Exponenten/volgorde
3. Naast elkaar plaatsen
4. Vermenigvuldigen/delen
5. Optellen/aftrekken
Voorbeeld:
6÷2(1+2)=1
6÷2×(1+2)=9
What's new in the latest 2025.10.16
Last updated on Jan 23, 2026
Minor bug fixes and improvements. Install or update to the newest version to check it out!
Math Lite APK -informatie
Veilige en snelle APK Downloads op APKPure
APKPure gebruikt handtekeningverificatie om virusvrije Math Lite APK downloads voor u te garanderen.
Oude versies van Math Lite
Math Lite 2025.10.16
7.8 MBJan 6, 2026
Math Lite 2025.9.11
8.9 MBSep 20, 2025
Math Lite 2025.7.28
8.7 MBAug 1, 2025
Math Lite 2024.6.14
10.6 MBJun 14, 2024
Supersnel en veilig downloaden via de APKPure-app
Eén klik om XAPK/APK-bestanden op Android te installeren!







