Oписание Math Lite
Калькулятор и некоторые общие математические формулы/константы
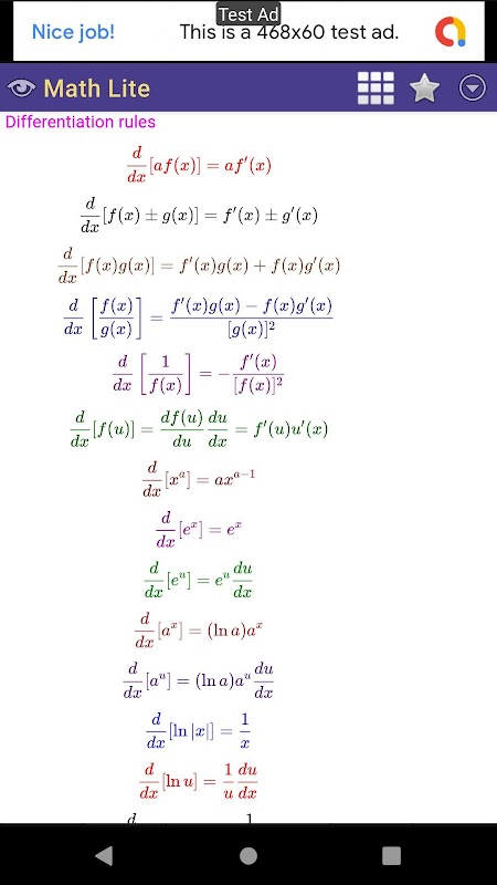
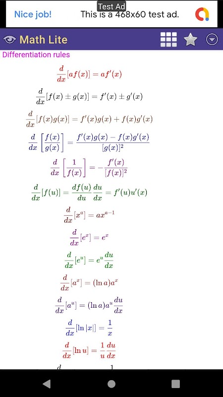
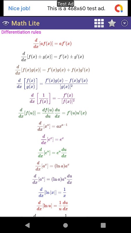
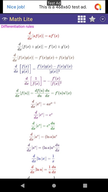
Научный калькулятор и набор математических формул/констант, обычно используемых студентами.
Функции:
Общие математические функции
Конвертер единиц для различных измерений
Приоритет оператора PEJMDAS/BEJDMAS/BOJDMAS:
1. Скобки/квадратные скобки
2. Показатели/порядок
3. Сопоставление
4. Умножение/Деление
5. Сложение/вычитание
Пример:
6÷2(1+2)=1
6÷2×(1+2)=9
Что нового в последней версии 2025.10.16
Last updated on 23/01/2026
Minor bug fixes and improvements. Install or update to the newest version to check it out!
Информация Math Lite APK
Последняя Версия
2025.10.16
Категория
ОбразованиеAndroid OS
Android 8.1+
Размер файла
7.8 MB
Разработчик
AxblareВозрастные ограничения
Everyone
Безопасная и Быстрая Загрузка APK на APKPure
APKPure позволяет легко и безопасно загружать Math Lite APK с проверкой подписи.
Старые Версии Math Lite
Math Lite 2025.10.16
7.8 MB06/01/2026
Math Lite 2025.9.11
8.9 MB20/09/2025
Math Lite 2025.7.28
8.7 MB01/08/2025
Math Lite 2024.6.14
10.6 MB14/06/2024
Супер Быстрая и Безопасная Загрузка через Приложение APKPure
Один клик для установки XAPK/APK файлов на Android!







