About Class 7 Maths NCERT Solutions
NCERT Solutions for Class 7 Maths - NCERT Maths Solutions for Class 7
Are you stressed about finding detailed, correct, and free NCERT books solutions for class 7 maths. Don't be - you have come to the right page! Our top maths teachers have created very thorough NCERT maths solutions for class 7 CBSE. The chapter-wise NCERT solutions for maths class 7 helps you in solving the questions in Class 7 Mathematics textbook. These solutions are available for free.
NCERT Class 7 Maths Chapters
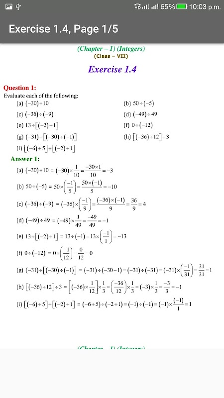
Chapter 1 - Integers
Chapter 2 - Fractions and Decimals
Chapter 3 - Data Handling
Chapter 4 - Simple Equations
Chapter 5 - Lines and Angles
Chapter 6 - The Triangle and Its Properties
Chapter 7 - Congruence of Triangles
Chapter 8 - Comparing Quantities
Chapter 9 - Rational Numbers
Chapter 10 - Practical Geometry
Chapter 11 - Perimeter and Area
Chapter 12 - Algebraic Expressions
Chapter 13 - Exponents and Powers
Chapter 14 - Symmetry
Chapter 15 - Visualising Solid Shapes
What's new in the latest 1.1
Class 7 Maths NCERT Solutions APK Information
Old Versions of Class 7 Maths NCERT Solutions
Class 7 Maths NCERT Solutions 1.1
Class 7 Maths NCERT Solutions 1.0
Super Fast and Safe Downloading via APKPure App
One-click to install XAPK/APK files on Android!



