Über Linear Algebra Solver Pro
Lineare Algebra Matrix- und Vektorberechnungen, Schritt-für-Schritt-Löser, Pro-Version
Die Anwendung zur Berechnung von Matrizen, Determinanten und Vektoren ist ein sehr nützliches Werkzeug. Es richtet sich an Studierende und Ingenieure, die in ihrem Studium oder ihrer Arbeit Matrixberechnungen verwenden.
Das Programm führt anhand der erforderlichen Formeln Schritt-für-Schritt-Berechnungen durch und zeigt eine detaillierte Lösung an. Sie können Matrix mit Abmessungen bis zu 5x5 und Vektoren in 2D/3D berechnen. Jeder Rechner enthält eine kleine Theorie zu einer bestimmten Aufgabe.
Es enthält außerdem einen Zufallszahlengenerator, um schnell Beispielausdrücke mit Zufallszahlen zu erstellen.
Die Anwendung führt folgende Operationen mit Matrizen durch:
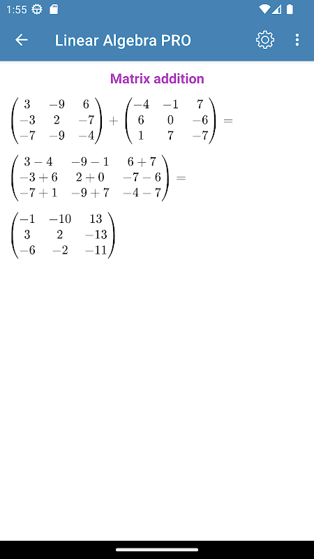
• Matrixaddition
• Matrixsubtraktion
• Matrix-Skalarmultiplikation
• Matrixquadrat
• Matrixmultiplikation
• Matrixtransposition
Determinantenberechnungen:
• Berechnung der Determinante nach der Sarrus-Methode
• Berechnung der Determinante mit der Laplace-Methode
Vektoroperationen:
• Vektorlänge
• Vektorkoordinaten durch zwei Punkte
• Addition von Vektoren
• Vektorsubtraktion
• Skalar- und Vektormultiplikation
• Skalarprodukt von Vektoren
• Kreuzprodukt von Vektoren
• Gemischtes (skalares) Tripelprodukt
• Winkel zwischen zwei Vektoren
• Projektion eines Vektors auf einen anderen Vektor
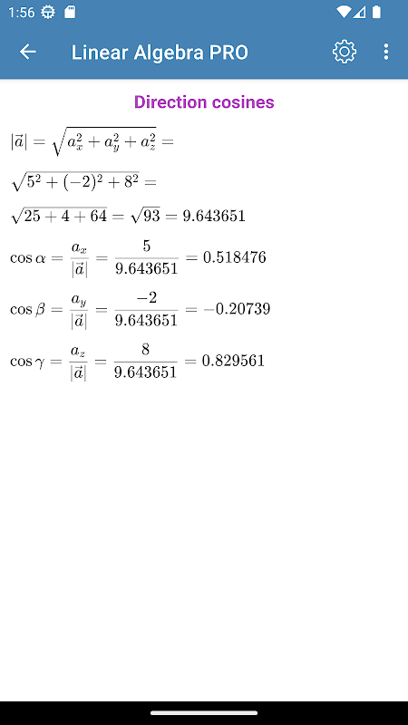
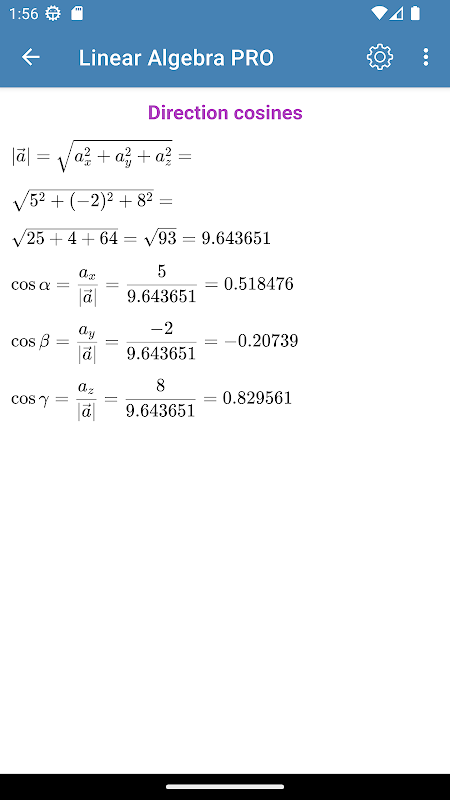
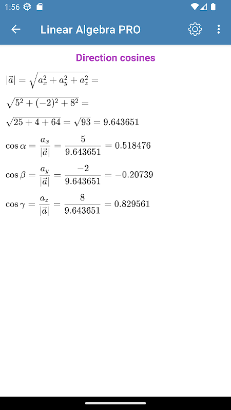
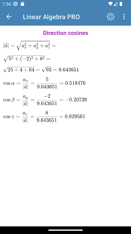
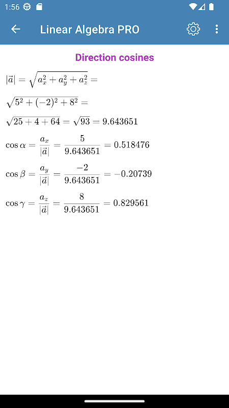
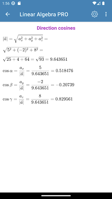
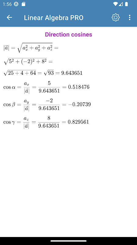
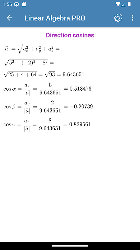
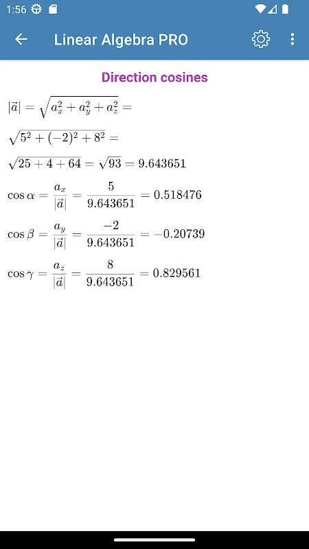
• Richtungskosinus
• Kollineare Vektoren
• Orthogonale Vektoren
• Koplanare Vektoren
• Fläche eines durch Vektoren gebildeten Dreiecks
• Fläche eines durch Vektoren gebildeten Parallelogramms
• Volumen der durch Vektoren gebildeten Pyramide
• Volumen eines durch Vektoren gebildeten Parallelepipeds
Der Anwendungsinhalt ist in den folgenden Sprachen verfügbar: Englisch, Französisch, Deutsch, Italienisch, Portugiesisch, Russisch, Spanisch und Ukrainisch.
Die Anwendung wird aktiv weiterentwickelt und durch neue Rechner ergänzt. Auf Updates achten!
What's new in the latest 3.0
Linear Algebra Solver Pro APK -Informationen
Superschnelles und sicheres Herunterladen über die APKPure-App
Ein Klick zur Installation von XAPK/APK-Dateien auf Android!







