Linear Algebra Solver Pro hakkında
Doğrusal Cebir Matrisi ve Vektör hesaplamaları, adım adım çözücü, Pro sürümü
Matrislerin, determinantların ve vektörlerin hesaplanmasına yönelik uygulama çok faydalı bir araçtır. Çalışmalarında veya çalışmalarında matris hesaplamalarını kullanan öğrenciler ve mühendisler için tasarlanmıştır.
Program gerekli formülleri kullanarak adım adım hesaplamalar yapacak ve ayrıntılı bir çözüm gösterecektir. 5x5'e kadar boyutlardaki matrisleri ve 2d/3d'deki vektörleri hesaplayabilirsiniz. Her hesap makinesi belirli bir göreve ilişkin küçük bir teori içerir.
Ayrıca rastgele sayılarla hızlı bir şekilde örnek ifadeler oluşturmak için bir rastgele sayı oluşturucu içerir.
Uygulama matrislerle aşağıdaki işlemleri gerçekleştirir:
• Matris ekleme
• Matris çıkarma
• Matris skaler çarpımı
• Matris karesi
• Matris çarpımı
• Matris aktarımı
Determinant hesaplamaları:
• Sarrus yöntemi kullanılarak determinantın hesaplanması
• Laplace yöntemi kullanılarak determinantın hesaplanması
Vektör işlemleri:
• Vektör Uzunluğu
• İki noktaya göre vektör koordinatları
• Vektörlerin eklenmesi
• Vektörlerin çıkarılması
• Skaler ve vektör çarpımı
• Vektörlerin skaler çarpımı
• Vektörlerin çapraz çarpımı
• Karışık (skaler) üçlü çarpım
• İki vektör arasındaki açı
• Bir vektörün başka bir vektör üzerine izdüşümü
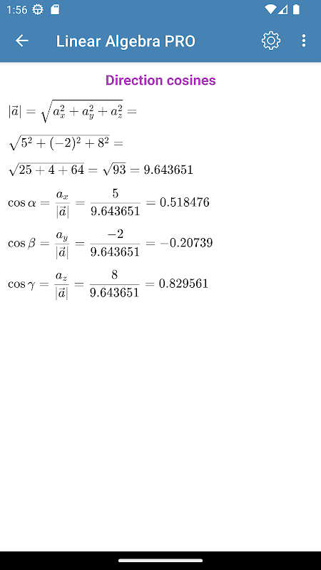
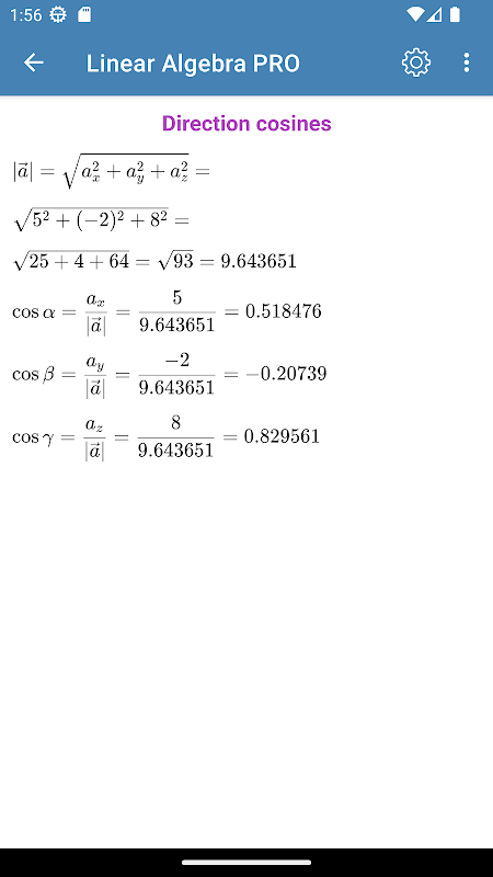
• Yön kosinüsleri
• Doğrusal vektörler
• Ortogonal vektörler
• Eş düzlemli vektörler
• Vektörlerin oluşturduğu üçgenin alanı
• Vektörlerin oluşturduğu bir paralelkenarın alanı
• Vektörlerin oluşturduğu piramidin hacmi
• Vektörlerin oluşturduğu bir paralelyüzün hacmi
Uygulama içeriği şu dillerde mevcuttur: İngilizce, Fransızca, Almanca, İtalyanca, Portekizce, Rusça, İspanyolca ve Ukraynaca.
Uygulama aktif olarak geliştirilmekte ve yeni hesap makineleriyle desteklenmektedir. Güncellemeler için saklayın!
What's new in the latest 3.0
Linear Algebra Solver Pro APK Bilgileri
APK Uygulaması ile Süper Hızlı ve Güvenli İndirme
XAPK/APK dosyalarını Android'e yüklemek için tek tıkla!







