Giới thiệu về Linear Algebra Solver Pro
Ma trận đại số tuyến tính và phép tính vectơ, bộ giải từng bước, phiên bản Pro
Ứng dụng tính toán ma trận, định thức và vectơ là công cụ rất hữu ích. Nó được thiết kế dành cho sinh viên và kỹ sư sử dụng phép tính ma trận trong học tập hoặc công việc của họ.
Chương trình sử dụng các công thức cần thiết sẽ thực hiện các phép tính từng bước và hiển thị lời giải chi tiết. Bạn có thể tính toán ma trận có kích thước lên tới 5x5 và vectơ ở dạng 2d/3d. Mỗi máy tính chứa một lý thuyết nhỏ về một nhiệm vụ cụ thể.
Nó cũng bao gồm một trình tạo số ngẫu nhiên để nhanh chóng tạo các biểu thức mẫu với các số ngẫu nhiên.
Ứng dụng thực hiện các thao tác sau với ma trận:
• Phép cộng ma trận
• Phép trừ ma trận
• Phép nhân vô hướng ma trận
• Ma trận vuông
• Phép nhân ma trận
• Chuyển vị ma trận
Tính toán xác định:
• Tính định thức bằng phương pháp Sarrus
• Tính định thức bằng phương pháp Laplace
Các phép toán vectơ:
• Độ dài vectơ
• Tọa độ vectơ theo hai điểm
• Phép cộng vectơ
• Phép trừ vectơ
• Phép nhân vô hướng và vectơ
• Tích vô hướng của vectơ
• Tích chéo của vectơ
• Tích ba hỗn hợp (vô hướng)
• Góc giữa hai vectơ
• Chiếu một vectơ lên một vectơ khác
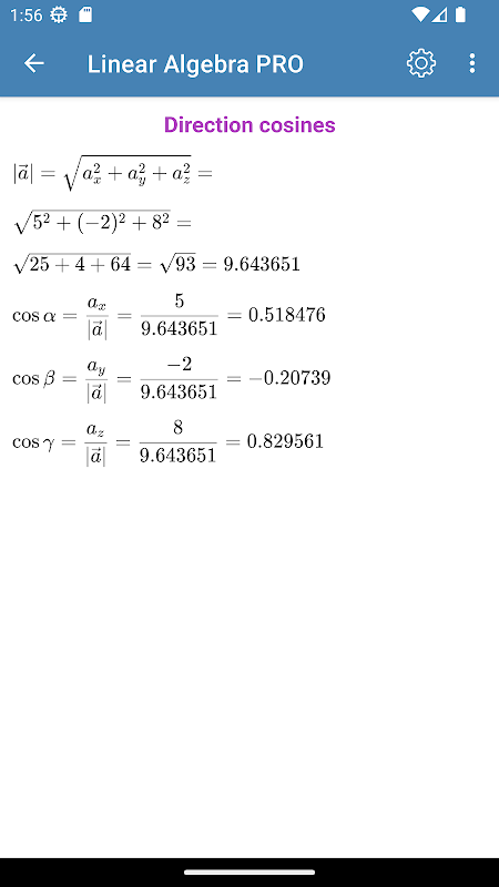
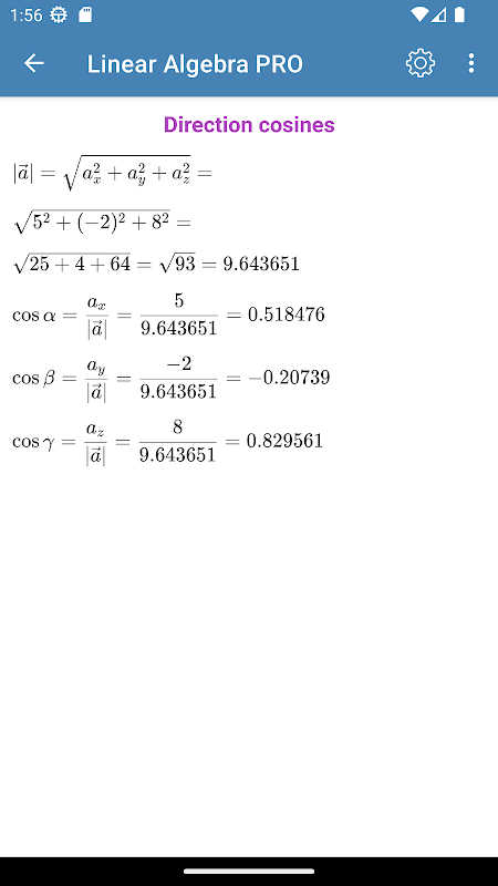
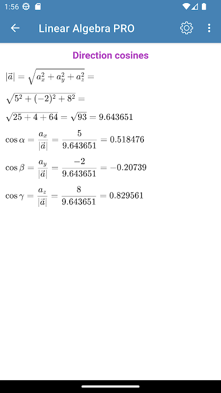
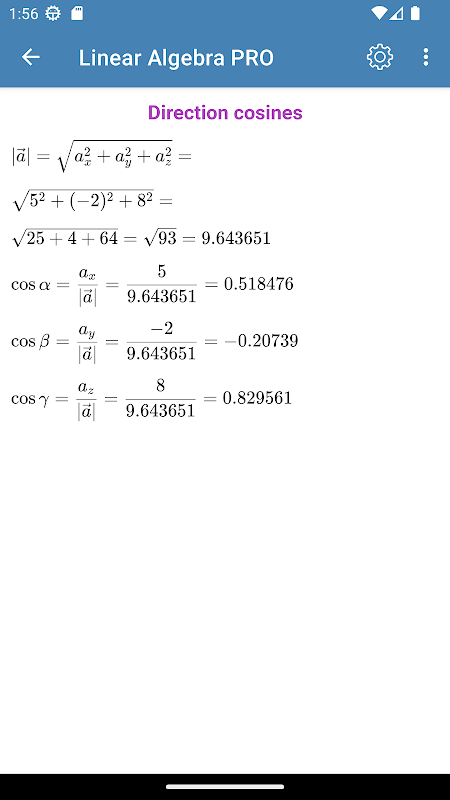
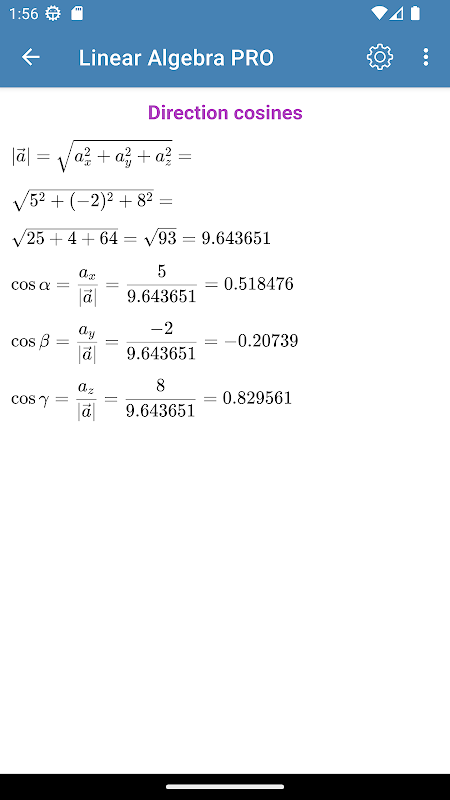
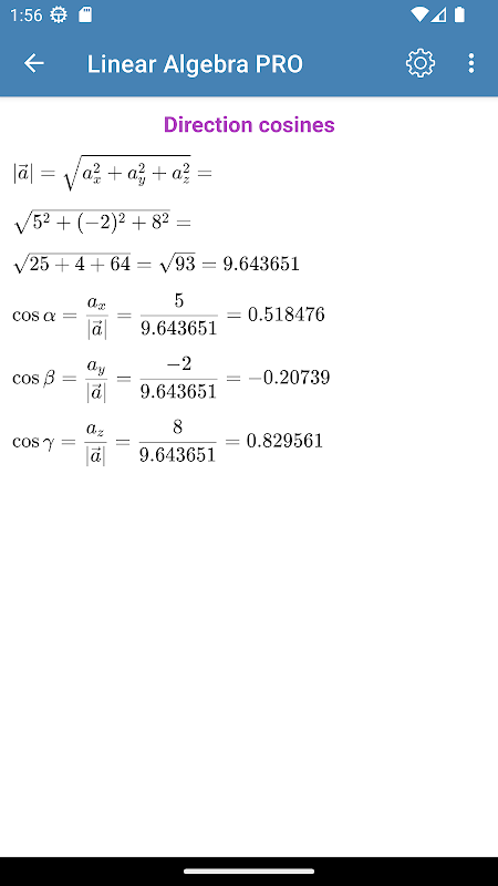
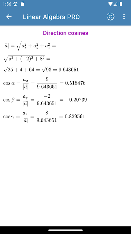
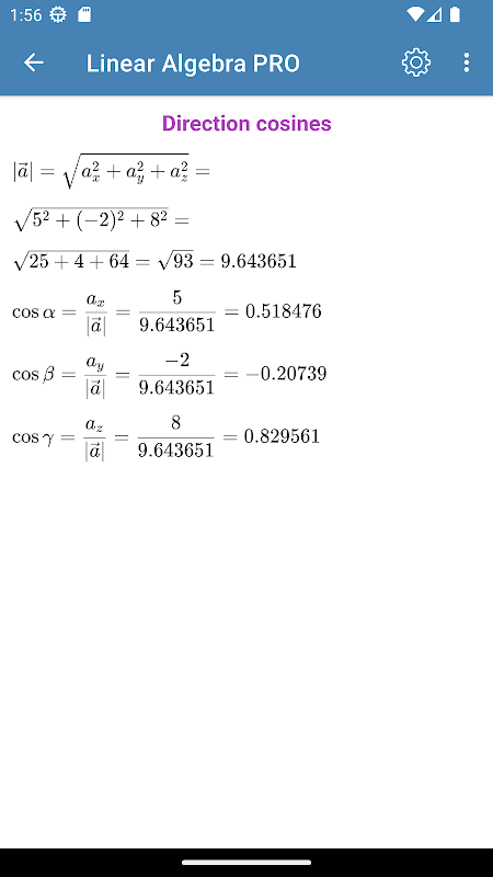
• cosin định hướng
• Vectơ thẳng hàng
• Vectơ trực giao
• Vectơ đồng phẳng
• Diện tích tam giác tạo bởi vectơ
• Diện tích hình bình hành tạo bởi vectơ
• Thể tích hình chóp tạo bởi vectơ
• Thể tích của hình bình hành tạo bởi vectơ
Nội dung ứng dụng có sẵn bằng các ngôn ngữ sau: tiếng Anh, tiếng Pháp, tiếng Đức, tiếng Ý, tiếng Bồ Đào Nha, tiếng Nga, tiếng Tây Ban Nha và tiếng Ukraina.
Ứng dụng này đang được tích cực phát triển và bổ sung các máy tính mới. Giữ để cập nhật!
What's new in the latest 3.0
Thông tin APK Linear Algebra Solver Pro
Tải xuống siêu nhanh và an toàn thông qua Ứng dụng APKPure
Một cú nhấp chuột để cài đặt các tệp XAPK/APK trên Android!







