Acerca del Linear Algebra Solver Pro
Cálculos de matrices y vectores de álgebra lineal, solucionador paso a paso, versión Pro
La aplicación para el cálculo de matrices, determinantes y vectores es una herramienta muy útil. Está diseñado para estudiantes e ingenieros que utilizan cálculos matriciales en sus estudios o trabajo.
El programa, utilizando las fórmulas necesarias, realizará cálculos paso a paso y mostrará una solución detallada. Puedes calcular matrices con dimensiones de hasta 5x5 y vectores en 2d/3d. Cada calculadora contiene una pequeña teoría sobre una tarea específica.
También incluye un generador de números aleatorios para crear rápidamente expresiones de muestra con números aleatorios.
La aplicación realiza las siguientes operaciones con matrices:
• Suma de matrices
• Resta de matrices
• Multiplicación escalar de matrices
• Matriz cuadrada
• Multiplicación de matrices
• Transposición de matriz
Cálculos determinantes:
• Cálculo del determinante mediante el método Sarrus
• Cálculo del determinante mediante el método de Laplace
Operaciones vectoriales:
• Longitud del vector
• Coordenadas vectoriales por dos puntos.
• Suma de vectores
• Resta de vectores
• Multiplicación escalar y vectorial
• Producto escalar de vectores
• Producto cruzado de vectores
• Producto triple mixto (escalar)
• Ángulo entre dos vectores
• Proyección de un vector sobre otro vector
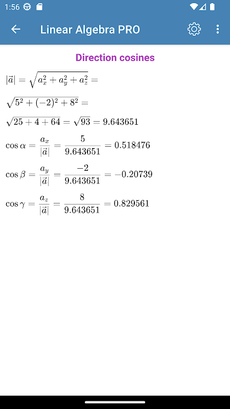
• Cosenos de dirección
• Vectores colineales
• Vectores ortogonales
• Vectores coplanares
• Área de triángulo formado por vectores
• Área de un paralelogramo formado por vectores
• Volumen de pirámide formada por vectores.
• Volumen de un paralelepípedo formado por vectores
El contenido de la aplicación está disponible en los siguientes idiomas: inglés, francés, alemán, italiano, portugués, ruso, español y ucraniano.
La aplicación se está desarrollando activamente y complementándose con nuevas calculadoras. ¡Manténgase actualizado para recibir actualizaciones!
Novedades más recientes 3.0
Información de Linear Algebra Solver Pro APK
Descarga rápida y segura a través de APKPure App
¡Un clic para instalar archivos XAPK/APK en Android!







