Physics Practical - Class 12
49.1 MB
Dateigröße
Everyone
Android 8.0+
Android OS
Über Physics Practical - Class 12
Physik-Praxisbuch für Schüler und Lehrer in englischer Sprache
Physikpraktikum ist eine Sammlung von Experimenten, die wir demonstrieren und die physikalische Konzepte, Prozesse, Phänomene sowie Ursachen erläutern. Die meisten Physikpraktika sind Fall und Verwischen, einige der Experimente können als Ausgangspunkte für Untersuchungen oder für Erweiterungsaktivitäten innerhalb einer vermuteten Flocke verwendet werden. Dieses praktische Buch ist für CBSE- und NCERT-Studenten. Dieses Buch wird auch für das Konzept und die mündliche Prüfung des Grundlagenpraktikums in Physik verwendet. Im Folgenden sind die Experimente aufgeführt, auf die sich dieses Buch konzentriert
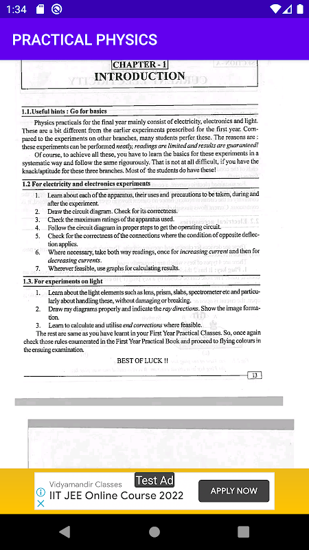
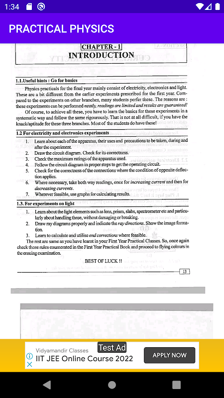
1. Einleitung
3. Messung von Widerständen
4. Messung von EMK und Pd
5. Galvanometer Amperemeter
6. Magnetische Messung
7. Brechungsindex der Optik
8. Brennweiten des Spiegels
9. Linsen und Prismen
10. Halbleiterbauelemente
11. Aktivitäten Abschnitt A
12. Aktivitäten Abschnitt B
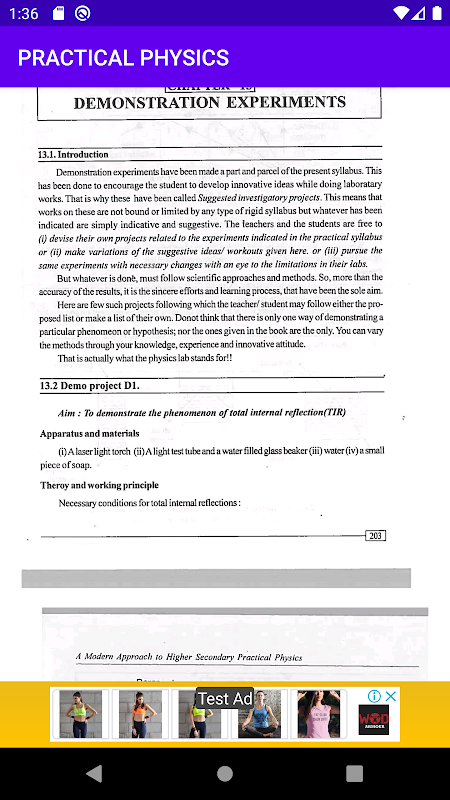
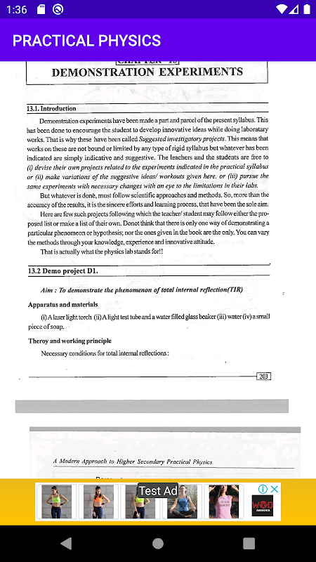
13. Demonstrationsexperimente
What's new in the latest 5.0.4
Physics Practical - Class 12 APK -Informationen
Alte Versionen von Physics Practical - Class 12
Physics Practical - Class 12 5.0.4
Physics Practical - Class 12 5.0.2
Superschnelles und sicheres Herunterladen über die APKPure-App
Ein Klick zur Installation von XAPK/APK-Dateien auf Android!





