Physics Practical - Class 12
49.1 MB
Taille de fichier
Everyone
Android 8.0+
Android OS
À propos de Physics Practical - Class 12
Livre pratique de physique pour étudiants et professeurs en anglais
La physique pratique est une collection d'expériences que nous démontrons et élaborons des concepts physiques, des processus, des phénomènes ainsi que des causes. La plupart des pratiques de physique sont des cas et des effacements, certaines des expériences peuvent être utilisées comme points de départ pour des investigations ou pour des activités d'amélioration au sein d'un flocci présumé. Ce livre pratique est destiné aux étudiants CBSE et NCERT. Ce livre est également utilisé pour l'examen Concept et viva de la physique de base pratique. Voici les expériences sur lesquelles porte ce livre
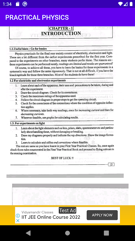
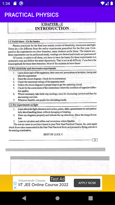
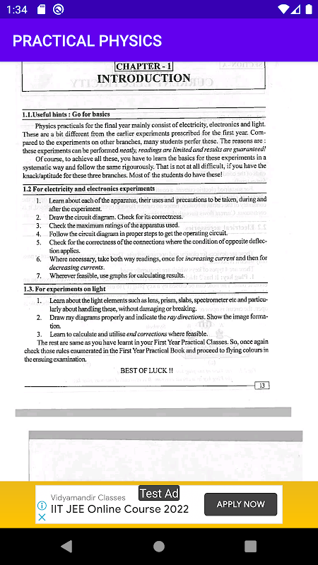
1. Introduction
3. Mesure des résistances
4. Mesure de Emf et Pd
5. Galvanomètres ampèremètres
6. Mesure magnétique
7. Indice de réfraction optique
8. Longueurs focales du miroir
9. Lentilles et prismes
10. Dispositifs semi-conducteurs
11. Activités Section A
12. Activités Section B
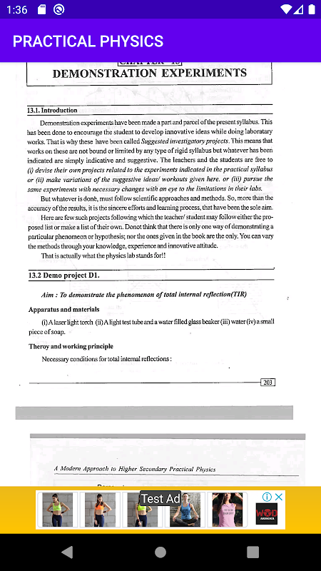
13. Expériences de démonstration
What's new in the latest 5.0.4
Informations Physics Practical - Class 12 APK
Vieilles versions de Physics Practical - Class 12
Physics Practical - Class 12 5.0.4
Physics Practical - Class 12 5.0.2
Téléchargement super rapide et sûr via l'application APKPure
Un clic pour installer les fichiers XAPK/APK sur Android!





