Physics Practical - Class 12
49.1 MB
Tamaño de archivo
Everyone
Android 8.0+
Android OS
Acerca del Physics Practical - Class 12
Libro practico de fisica para estudiantes y profesores en ingles.
Physics Practical es una colección de experimentos que demostramos y elaboramos de conceptos físicos, procesos, fenómenos y causas. La mayoría de las prácticas de física son caso y borrado, algunos de los experimentos pueden usarse como puntos de partida para investigaciones o para actividades de mejora dentro de un supuesto flojo. Este libro práctico es para estudiantes de CBSE y NCERT. Este libro también se utiliza para el examen de concepto y viva de física básica práctica. Los siguientes son los experimentos en los que se centra este libro.
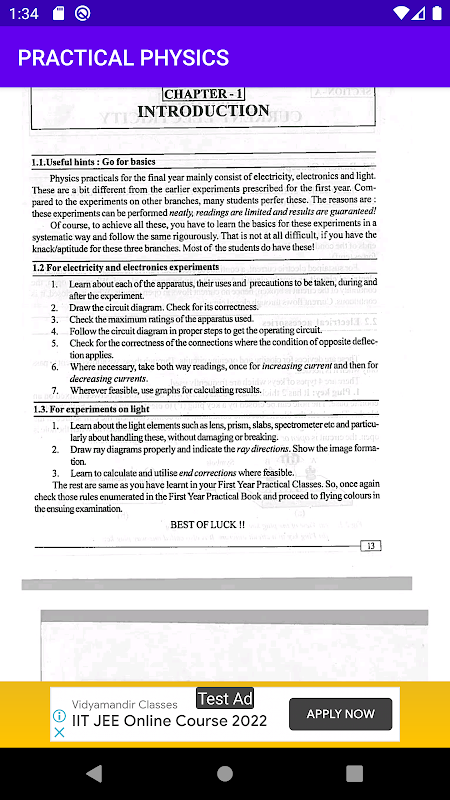
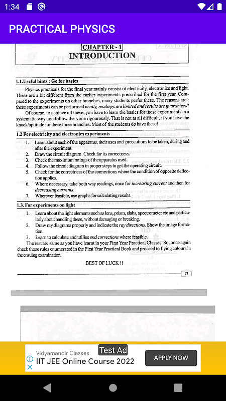
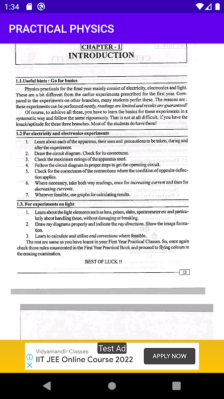
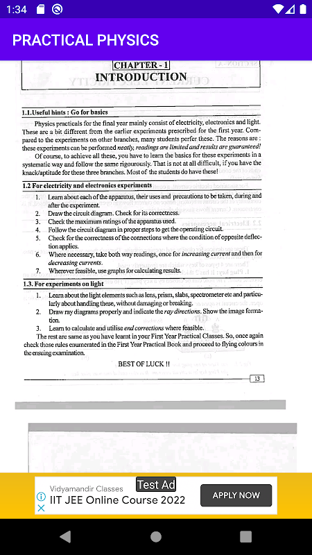
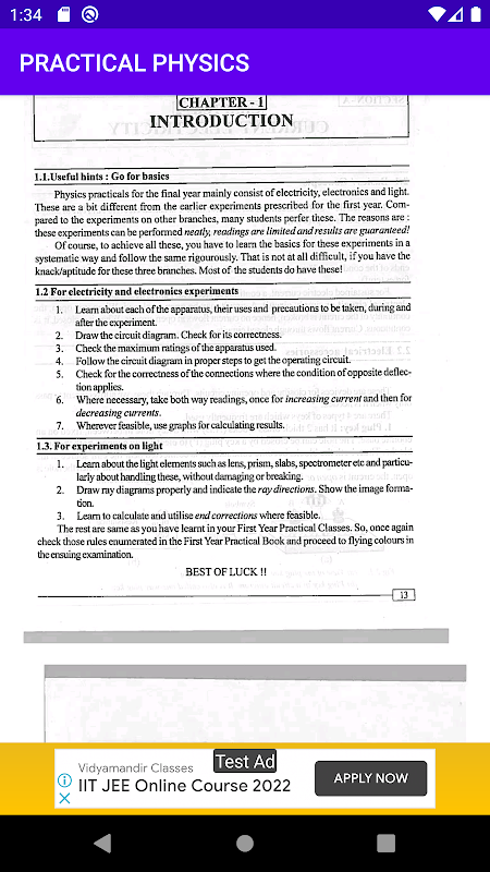
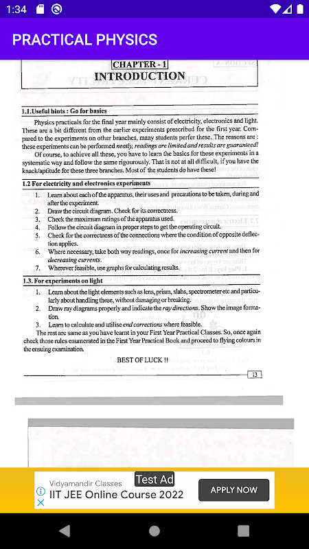
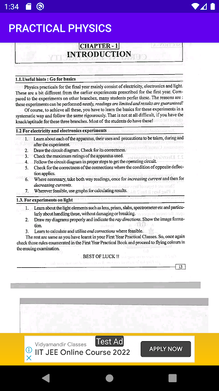
1. Introducción
3. Medida de Resistencias
4. Medición de Emf y Pd
5. Galvanómetros Amperímetros
6. Medición magnética
7. Índice de refracción de la óptica
8. Distancias focales del espejo
9. Lentes y prismas
10. Dispositivos semiconductores
11. Actividades Sección A
12. Actividades Sección B
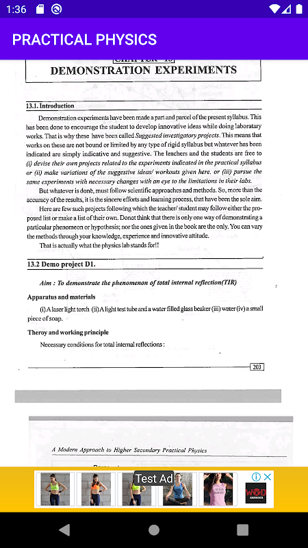
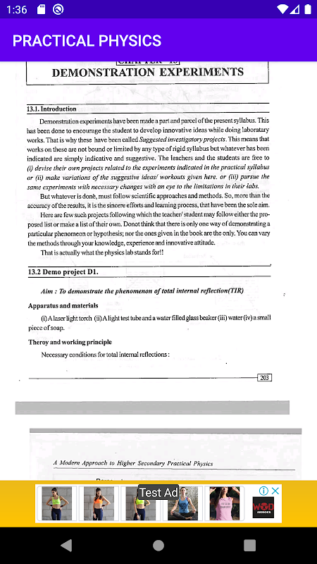
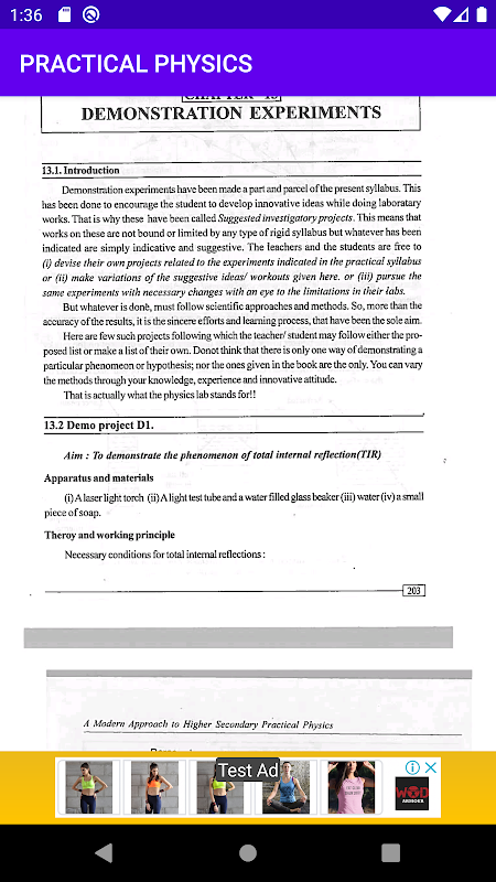
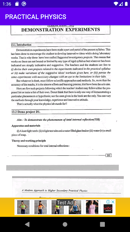
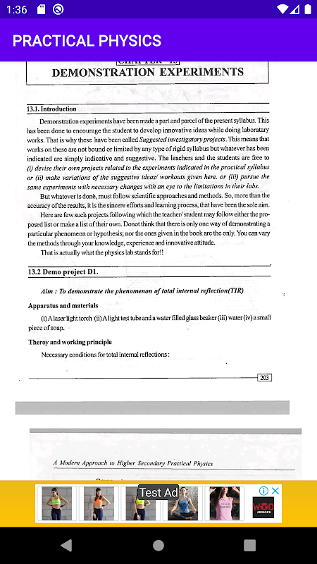
13. Experimentos de demostración
Novedades más recientes 5.0.4
Información de Physics Practical - Class 12 APK
Versiones Antiguas de Physics Practical - Class 12
Physics Practical - Class 12 5.0.4
Physics Practical - Class 12 5.0.2
Descarga rápida y segura a través de APKPure App
¡Un clic para instalar archivos XAPK/APK en Android!





