Physics Practical - Class 12
49.1 MB
Размер файла
Everyone
Android 8.0+
Android OS
Oписание Physics Practical - Class 12
Практикум по физике для школьников и учителей на английском языке
Практическая физика — это набор экспериментов, которые мы демонстрируем и разрабатываем физические понятия, процессы, явления, а также причины. Большая часть практических физических данных является случайной и скрытой, некоторые из экспериментов могут быть использованы в качестве отправной точки для исследований или для повышения активности в рамках предполагаемых скоплений. Эта практическая книга предназначена для студентов CBSE и NCERT. Эта книга также используется для практических занятий по концепции и практическому экзамену по основам физики. Ниже приведены эксперименты, которым посвящена эта книга.
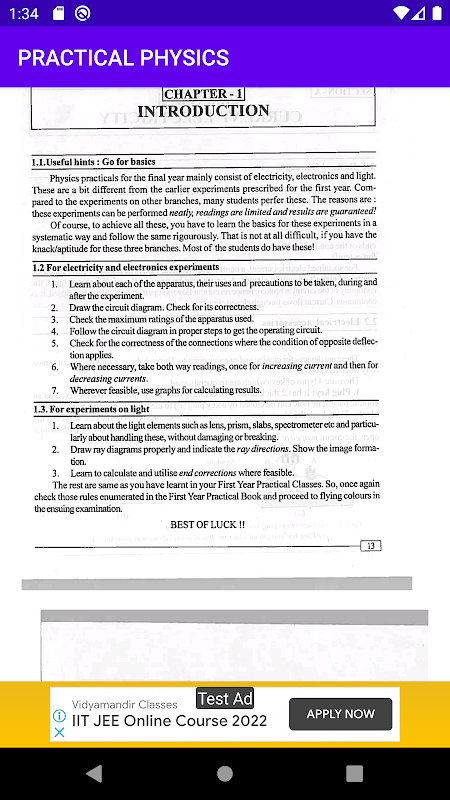
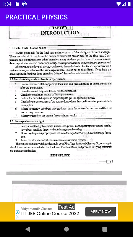
1. Введение
3. Измерение сопротивлений
4. Измерение ЭДС и Pd
5. Гальванометры Амперметры
6. Магнитное измерение
7. Показатель преломления оптики
8. Фокусное расстояние зеркала.
9. Линзы и призмы
10. Полупроводниковые приборы
11. Мероприятия Раздел А
12. Мероприятия Раздел B
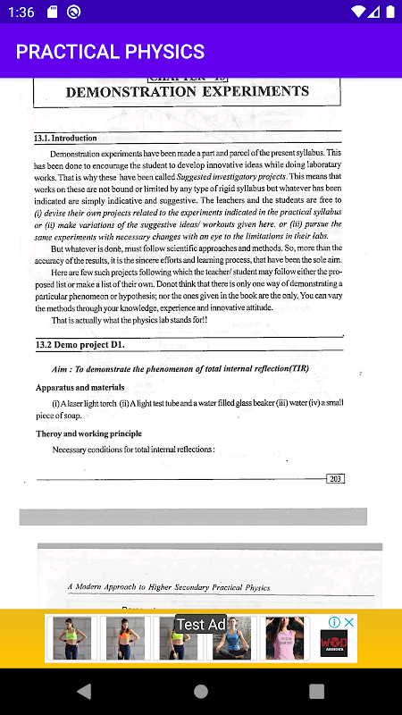
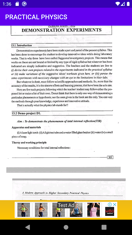
13. Демонстрационные эксперименты
Что нового в последней версии 5.0.4
Информация Physics Practical - Class 12 APK
Старые Версии Physics Practical - Class 12
Physics Practical - Class 12 5.0.4
Physics Practical - Class 12 5.0.2
Супер Быстрая и Безопасная Загрузка через Приложение APKPure
Один клик для установки XAPK/APK файлов на Android!





