Tentang CIE A Level Maths P1 Yearly
Solusi Kerja Terperinci untuk CIE A Level Maths P1 Tahunan 9709
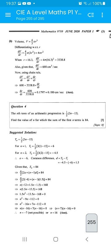
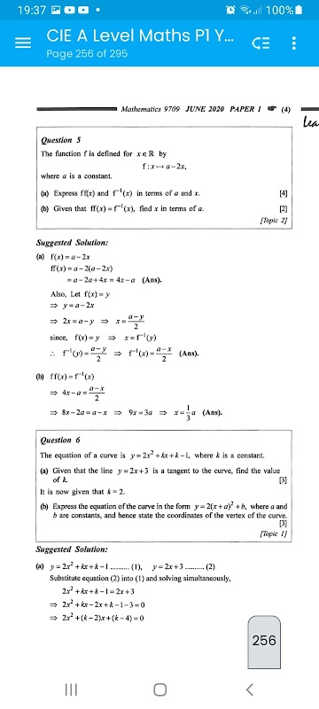
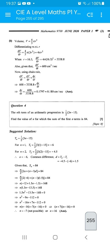
Buku ini berisi makalah ujian AS Level Mathematics (9709), Juni & November, dari Juni 2007 hingga November 2021, Makalah 1(P1), dengan solusi kerja penuh langkah demi langkah. Soal-soal tersebut, disusun dalam bentuk tahunan sehingga siswa dapat merevisi dan berlatih secara sistematis.
Pertanyaan dari ujian sebelumnya selalu terbukti menjadi praktik terbaik bagi siswa. Siswa mampu menerapkan apa yang telah dipelajarinya. Buku ini juga merupakan panduan belajar yang sangat berguna bagi siswa karena mereka dapat berlatih soal, dan kemudian memeriksa pekerjaan dan jawaban mereka. Buku ini sangat direkomendasikan untuk siswa yang sedang mempersiapkan ujian Matematika Tingkat AS.
Buku fisiknya dari Juni 2008 hingga November 2021 dengan biaya Rs 375. Whatsapp kami di +23057125974 untuk pesanan Anda.
What's new in the latest 1.0.0
Informasi APK CIE A Level Maths P1 Yearly
CIE A Level Maths P1 Yearly Alternatif
Pengunduhan Super cepat dan aman melalui aplikasi APKPure
Sekali klik untuk menginstal file XAPK/APK di Android!







