CIE A Level Maths P1 Yearly के बारे में
Detailed Worked Solutions for CIE A Level Maths P1 Yearly 9709
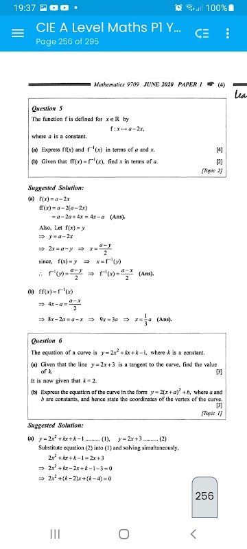
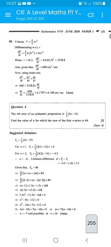
This book contains AS Level Mathematics (9709) examination papers, June & November, from June 2007 to November 2021, Paper 1(P1), with step-by-step full worked solutions. The questions, are arranged in yearly form so that the students can revise and practice systematically.
Questions from past examinations have always proved to be the best practice for students. Students are able to apply what they have learnt. This book is also a very useful study guide for students as they can practice the questions, and then check their working and answers . This book is highly recommended for the students who are preparing for the AS Level Mathematics examination.
The physical book is from June 2008 to November 2021 and costs Rs 375. Whatsapp us on +23057125974 for your order.
What's new in the latest 1.0.0
CIE A Level Maths P1 Yearly APK जानकारी
CIE A Level Maths P1 Yearly वैकल्पिक
APKPure ऐप के माध्यम से सुपर तेज़ और सुरक्षित डाउनलोडिंग
एंड्रॉइड पर XAPK/APK फ़ाइलें इंस्टॉल करने के लिए एक-क्लिक करें!







