CIE A Level Maths P1 Yearly hakkında
CIE A Level Maths P1 Yearly 9709 için Detaylı Çalışılan Çözümler
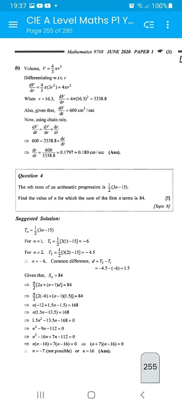
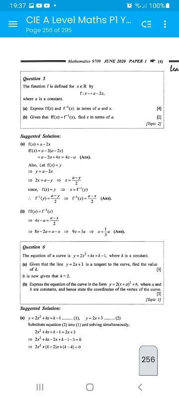
Bu kitap, Haziran 2007'den Kasım 2021'e kadar AS Level Mathematics (9709) sınav kağıtlarını, adım adım tam çözümlü çözümlerle birlikte, Kağıt 1(P1) içerir. Sorular, öğrencilerin sistematik olarak gözden geçirip uygulayabilmeleri için yıllık olarak düzenlenmiştir.
Geçmiş sınavlardan gelen soruların öğrenciler için her zaman en iyi uygulama olduğu kanıtlanmıştır. Öğrenciler öğrendiklerini uygulayabilirler. Bu kitap aynı zamanda öğrenciler için çok yararlı bir çalışma kılavuzudur, çünkü soruları uygulayabilir ve ardından çalışmalarını ve cevaplarını kontrol edebilirler. Bu kitap AS Level Matematik sınavına hazırlanan öğrencilere şiddetle tavsiye edilir.
Fiziksel kitap Haziran 2008'den Kasım 2021'e kadardır ve maliyeti 375 Rs'dir. Siparişiniz için bize +23057125974 numaralı telefondan Whatsapp'tan ulaşın.
What's new in the latest 1.0.0
CIE A Level Maths P1 Yearly APK Bilgileri
CIE A Level Maths P1 Yearly Alternatif
Son 24 saatte popüler uygulamalar
APK Uygulaması ile Süper Hızlı ve Güvenli İndirme
XAPK/APK dosyalarını Android'e yüklemek için tek tıkla!







